| 查看: 269 | 回复: 1 | ||
vipgoobye木虫 (小有名气)
|
[求助]
证明题已有1人参与
|
|
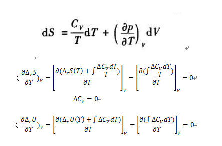
两道证明题,求个思路。最好能有过程,多谢 发自小木虫IOS客户端 |
» 猜你喜欢
二苯甲酮亚胺的合成
已经有1人回复
聚左旋乳酸的作用与机制:从胶原再生到组织修复
已经有0人回复
有机高分子材料论文润色/翻译怎么收费?
已经有246人回复
可生物降解聚酯聚己内酯的性能分析与发展趋势
已经有0人回复
带膜支架的膜和支架之间的结合力如何测试
已经有2人回复
西交利物浦大学奖学金博士招生(生物传感或机器学习方向)
已经有1人回复
南方科技大学招收金属材料方向博士生
已经有23人回复
可降解聚酯材料在医疗器械中的应用趋势与创新方向
已经有0人回复
可降解微球如何提升药物精准治疗效果
已经有0人回复
静电纺丝膜分层问题
已经有0人回复
什么脱膜剂可以完全清洗干净啊?
已经有2人回复
chenzug
捐助贵宾 (知名作家)
- ICEPI: 1
- 应助: 20 (小学生)
- 金币: 3643.5
- 散金: 5560
- 红花: 38
- 沙发: 1
- 帖子: 6195
- 在线: 1943.9小时
- 虫号: 2132397
- 注册: 2012-11-17
- 性别: GG
- 专业: 金属有机化学

2楼2015-12-23 16:20:10













回复此楼