24小时热门版块排行榜    

查看: 524  |  回复: 0

冥暗

新虫 (初入文坛)

[求助] Rsoft 裡面ka/pi Value 怎麼設定

小弟現在是用一個平面波打在一個週期陣列結構,但在大角度入射的時後會有問題,在教程中看到當平面波打到週期結構時會要設定一個 ka/pi Value 想請問要怎麼設定。

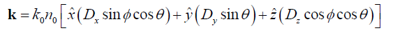
附上教程原文:To launch a plane wave at an angle, the appropriate launch angles will need to be set and a phase difference must be given across the periodic boundaries. Using the Auto option for ka/pi Value in the Advanced Parameters dialog will attempt to set the ka/pi values appropriately, based on the following vector relation(附圖為公式)


2.png
回复此楼

» 猜你喜欢

已阅   回复此楼   关注TA 给TA发消息 送TA红花 TA的回帖
相关版块跳转 我要订阅楼主 冥暗 的主题更新
最具人气热帖推荐 [查看全部] 作者 回/看 最后发表
[考研] 材料292调剂 +8 橘颂思美人 2026-03-23 8/400 2026-03-24 16:33 by laoshidan
[考研] 08工学调剂 +9 用户573181 2026-03-20 14/700 2026-03-24 16:21 by liujinyu80
[考研] 材料学硕,求调剂 6+3 糖葫芦888ll 2026-03-22 6/300 2026-03-24 15:05 by 123456zjm
[考研] 086003食品工程求调剂 +4 淼淼111 2026-03-24 4/200 2026-03-24 11:53 by 544594351
[考研] 298-一志愿中国农业大学-求调剂 +11 手机用户 2026-03-17 12/600 2026-03-23 23:51 by 热情沙漠
[考研] 085600材料与化工调剂 +7 A-哆啦Z梦 2026-03-23 12/600 2026-03-23 23:16 by 星空星月
[考研] 材料专硕英一数二306 +8 z1z2z3879 2026-03-18 8/400 2026-03-23 20:49 by baobaoye
[考研] 一志愿陕师大生物学071000,298分,求调剂 +3 SYA! 2026-03-23 3/150 2026-03-23 19:09 by macy2011
[考研] 287求调剂 +8 晨昏线与星海 2026-03-19 9/450 2026-03-22 17:01 by i_cooler
[考研] 260求调剂 +3 朱芷琳 2026-03-20 4/200 2026-03-22 15:12 by 朱芷琳
[考研] 生物学调剂 +5 Surekei 2026-03-21 5/250 2026-03-22 14:39 by tcx007
[考研] 求调剂 +5 Zhangbod 2026-03-21 7/350 2026-03-22 13:13 by Zhangbod
[考研] 266求调剂 +3 哇呼哼呼哼 2026-03-20 3/150 2026-03-21 16:46 by barlinike
[考研] 二本跨考郑大材料306英一数二 +3 z1z2z3879 2026-03-17 3/150 2026-03-21 02:29 by JourneyLucky
[考研] 求调剂 +3 Ma_xt 2026-03-17 3/150 2026-03-21 02:05 by JourneyLucky
[考研] 一志愿西南交大,求调剂 +5 材化逐梦人 2026-03-18 5/250 2026-03-21 00:26 by JourneyLucky
[考研] 材料与化工 322求调剂 +4 然11 2026-03-19 4/200 2026-03-20 22:12 by luoyongfeng
[考研] 353求调剂 +3 拉钩不许变 2026-03-20 3/150 2026-03-20 19:56 by JourneyLucky
[考研] 0703化学调剂 +4 18889395102 2026-03-18 4/200 2026-03-19 16:13 by 30660438
[考研] 收复试调剂生 +4 雨后秋荷 2026-03-18 4/200 2026-03-18 14:16 by elevennnne
信息提示
请填处理意见