| 查看: 2224 | 回复: 2 | ||
[求助]
求曲线坐标系下三维欧拉方程组雅各比矩阵的左右特征矩阵和特征向量求解过程
|
|
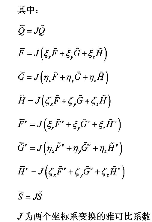
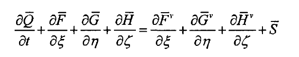
使用有限差分法进行计算,在把物理空间的坐标投影到计算空间后得到新的控制方程,用特征矩阵的方法进行通量分裂,现需要得出计算空间控制方程雅各比矩阵的左右特征矩阵和特征向量。 博士论文“基于可压缩流方法的大涡模拟及其工程化应用_李雪松”中给出了右特征矩阵的一般形式,现需要左特征矩阵。。 万分感谢。 捕获.PNG 捕获2.PNG 捕获3.PNG |
» 本帖附件资源列表
-
欢迎监督和反馈:小木虫仅提供交流平台,不对该内容负责。
本内容由用户自主发布,如果其内容涉及到知识产权问题,其责任在于用户本人,如对版权有异议,请联系邮箱:xiaomuchong@tal.com - 附件 1 : 基于可压缩流方法的大涡模拟及其工程化应用_李雪松.caj
2015-11-30 00:11:57, 2.69 M
» 猜你喜欢
光学工程学硕调剂信息
已经有32人回复
欢迎加入课题组
已经有0人回复
物理学I论文润色/翻译怎么收费?
已经有79人回复
散金币,求好运,祝面上顺利!
已经有79人回复
华东师范大学芯片设计徐珑真实水平咋样
已经有1人回复
调剂
已经有0人回复
【新加坡】纳米电子器件项目组有“联合培养博士生”名额
已经有0人回复
中德博士后2026项目5月30日截止- 国内博士后入站、德国两年全职
已经有0人回复
面向全球申请人的中德博士后2026项目5月30日截止- 国内博后入站德国两年全职
已经有0人回复
【新加坡】纳米电子器件项目组有“联合培养博士生”名额
已经有2人回复
重庆交大材料学院26年硕士招生复试实施细则已出。欢迎加入光子学微结构与器件课题组。
已经有0人回复
2楼2015-11-30 12:45:49
|
。。。 发自小木虫Android客户端 |
3楼2015-11-30 13:14:10













回复此楼