| 查看: 770 | 回复: 2 | ||
[求助]
求教一道偏微分方程推导的问题,谢谢!
|
|
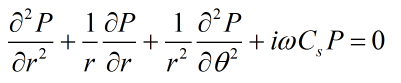
方程如图1所示,结果如图2所示,将图2的结果代入图1感觉方程无法平衡。我现在想请教一下这个方程的推导可以参见什么书?这是我在看文献的时候看到的,但是中间没有具体的推导过程。图1所示的方程不是亥姆霍兹方程,因为有虚数。而在图书馆能够找的的数学物理方程或者特殊函数等书本,都没有能找到相关的内容。还请知道的同学不吝赐教。 1.png 2.png |
» 猜你喜欢
寻求一种能扛住强氧化性腐蚀性的容器密封件
已经有5人回复
真诚求助:手里的省社科项目结项要求主持人一篇中文核心,有什么渠道能发核心吗
已经有7人回复
论文投稿,期刊推荐
已经有6人回复
请问哪里可以有青B申请的本子可以借鉴一下。
已经有4人回复
孩子确诊有中度注意力缺陷
已经有14人回复
请问下大家为什么这个铃木偶联几乎不反应呢
已经有5人回复
请问有评职称,把科研教学业绩算分排序的高校吗
已经有5人回复
2025冷门绝学什么时候出结果
已经有3人回复
天津工业大学郑柳春团队欢迎化学化工、高分子化学或有机合成方向的博士生和硕士生加入
已经有4人回复
康复大学泰山学者周祺惠团队招收博士研究生
已经有6人回复
rzjh123
铁虫 (初入文坛)
- 应助: 0 (幼儿园)
- 金币: 235.3
- 散金: 40
- 帖子: 15
- 在线: 13.2小时
- 虫号: 4150642
- 注册: 2015-10-16
- 性别: GG
- 专业: 矿山岩体力学与岩层控制
2楼2015-11-29 22:54:21
3楼2015-11-29 23:38:15













回复此楼