24小时热门版块排行榜    

查看: 328  |  回复: 0

紫色镜框

新虫 (初入文坛)

[求助] 求各位大神帮忙看看,菜鸟一个,先行谢过啦!

本人matlab菜鸟一个,真诚求各位大神帮忙!
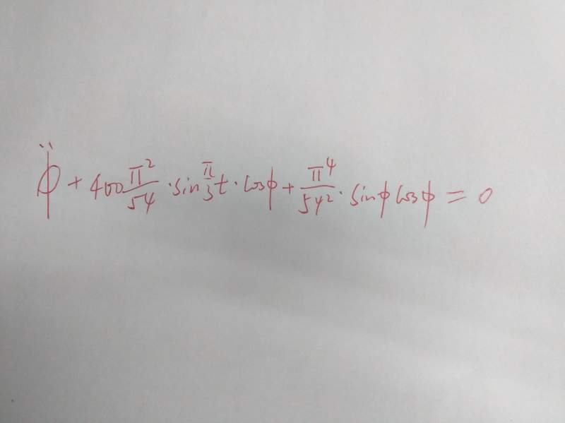
我想解如图所示的二阶微分方程,之后需要在simulink中实现,因为要与后续系统连接,我选用了matlab function模块,我这么编写的:
function [t,y] = fcn
%#codegen
%y = 0;

[t,y]=ode45(@ufunc,[0,3],[0,0]);
   
   
function a=ufunc(x,y)
       adot=zeros(2,1);
       adot(1)=a(2);
       adot(2)=-400*pi^2/54*sin(pi*x/3)*cos(a(1))-pi^4/(54^2)*0.5*sin(2*sin(2*a(1)));
出现错误:The function 'ode45' is not supported for standalone code generation.
如何做才能使用simulink scope进行波形显示?如何调整?ode45不可以直接在m函数中调用吗?必须自己编子函数吗?
静待大神!

求各位大神帮忙看看,菜鸟一个,先行谢过啦!
IMG_20151129_201940.jpg


求各位大神帮忙看看,菜鸟一个,先行谢过啦!-1
捕获1.PNG
回复此楼

» 猜你喜欢

已阅   回复此楼   关注TA 给TA发消息 送TA红花 TA的回帖
相关版块跳转 我要订阅楼主 紫色镜框 的主题更新
最具人气热帖推荐 [查看全部] 作者 回/看 最后发表
[考研] 调剂310 +3 温柔的晚安 2026-03-25 4/200 2026-03-25 23:16 by peike
[考研] 材料专硕 335 分求调剂 +4 拒绝冷暴力 2026-03-25 4/200 2026-03-25 18:45 by haxia
[考研] 311求调剂 +4 勇敢的小吴 2026-03-20 4/200 2026-03-25 18:12 by xcjcqu
[考研] 333求调剂 +6 87639 2026-03-21 11/550 2026-03-25 16:17 by 87639
[考研] 286求调剂 +11 Faune 2026-03-21 11/550 2026-03-25 10:11 by 雾散后相遇lc
[考研] 一志愿武理085500机械专业总分300求调剂 +3 an10101 2026-03-24 7/350 2026-03-25 00:00 by 山鬼0-
[考研] 求调剂 +6 研研,接电话 2026-03-24 7/350 2026-03-24 17:01 by barlinike
[考研] 300求调剂,材料科学英一数二 +5 leaflight 2026-03-24 5/250 2026-03-24 16:25 by laoshidan
[考研] 材料专硕331求调剂 +4 鲜当牛 2026-03-24 4/200 2026-03-24 15:58 by JourneyLucky
[基金申请] 请教下大家 2026年国家基金申请是双盲审吗? +3 lishucheng1 2026-03-22 5/250 2026-03-24 08:22 by gltch
[考研] 求调剂 +7 十三加油 2026-03-21 7/350 2026-03-23 23:48 by 热情沙漠
[考研] 328求调剂 +4 LHHL66 2026-03-23 4/200 2026-03-23 14:55 by lbsjt
[考研] 070300,一志愿北航320求调剂 +3 Jerry0216 2026-03-22 5/250 2026-03-23 09:16 by 。。堂堂
[考研] 一志愿东华大学控制学硕320求调剂 +3 Grand777 2026-03-21 3/150 2026-03-21 19:23 by 简之-
[考研] 0703化学调剂 +4 妮妮ninicgb 2026-03-21 4/200 2026-03-21 18:39 by 学员8dgXkO
[考研] 一志愿 西北大学 ,070300化学学硕,总分287,双非一本,求调剂。 +4 晨昏线与星海 2026-03-19 4/200 2026-03-20 22:15 by JourneyLucky
[考研] 329求调剂 +9 想上学吖吖 2026-03-19 9/450 2026-03-20 22:01 by luoyongfeng
[考研] 290求调剂 +7 ^O^乜 2026-03-19 7/350 2026-03-20 21:43 by JourneyLucky
[考研] 261求B区调剂,科研经历丰富 +3 牛奶很忙 2026-03-20 4/200 2026-03-20 19:34 by JourneyLucky
[考研] 320求调剂0856 +3 不想起名字112 2026-03-19 3/150 2026-03-19 22:53 by 学员8dgXkO
信息提示
请填处理意见