| 查看: 465 | 回复: 1 | ||
q:1306140890木虫 (正式写手)
|
[求助]
求助一个偏微分方程问题
|
|
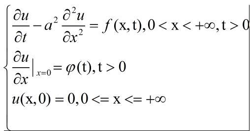
我用laplace 变换方法(对时间t作变换),然后求解常微分的特解用常数变易法,但因为f(x,t)是抽象函数,整出一个很长的积分式的特解,所以难以得出通解中的的系数。我的思路有问题吗?除了用laplace变换还有其他思路吗?给点提示或参考资料都可,谢谢!(ps:x趋于无穷时,u(x,t)=0) 2.jpg |
» 猜你喜欢
寻求一种能扛住强氧化性腐蚀性的容器密封件
已经有5人回复
真诚求助:手里的省社科项目结项要求主持人一篇中文核心,有什么渠道能发核心吗
已经有7人回复
论文投稿,期刊推荐
已经有6人回复
请问哪里可以有青B申请的本子可以借鉴一下。
已经有4人回复
孩子确诊有中度注意力缺陷
已经有14人回复
请问下大家为什么这个铃木偶联几乎不反应呢
已经有5人回复
请问有评职称,把科研教学业绩算分排序的高校吗
已经有5人回复
2025冷门绝学什么时候出结果
已经有3人回复
天津工业大学郑柳春团队欢迎化学化工、高分子化学或有机合成方向的博士生和硕士生加入
已经有4人回复
康复大学泰山学者周祺惠团队招收博士研究生
已经有6人回复

科学之幻想
铁虫 (小有名气)
- 应助: 0 (幼儿园)
- 金币: 658.2
- 帖子: 83
- 在线: 19.8小时
- 虫号: 2966040
- 注册: 2014-02-13
- 性别: MM
- 专业: 计算数学与科学工程计算

2楼2015-11-29 15:31:32













回复此楼