| 查看: 375 | 回复: 1 | ||
lxh_qddx木虫 (正式写手)
|
[求助]
根据误差传布理论,帮忙算下误差
|
|
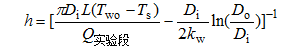
Q的相对误差最大为3%;Two相对误差为±0.15%;Ts相对误差为±3%;求h的误差(没给误差的物理量都为定值) 麻烦把计算过程也给出,本人没学过.... 谢谢各位大侠啦 62Q]T3DZ90$]U6$MX(YZKUR.png |
» 猜你喜欢
2025冷门绝学什么时候出结果
已经有3人回复
天津工业大学郑柳春团队欢迎化学化工、高分子化学或有机合成方向的博士生和硕士生加入
已经有4人回复
康复大学泰山学者周祺惠团队招收博士研究生
已经有6人回复
AI论文写作工具:是科研加速器还是学术作弊器?
已经有3人回复
孩子确诊有中度注意力缺陷
已经有6人回复
2026博士申请-功能高分子,水凝胶方向
已经有6人回复
论文投稿,期刊推荐
已经有4人回复
硕士和导师闹得不愉快
已经有13人回复
请问2026国家基金面上项目会启动申2停1吗
已经有5人回复
同一篇文章,用不同账号投稿对编辑决定是否送审有没有影响?
已经有3人回复
2楼2015-12-24 13:20:13













回复此楼