| ²é¿´: 1841 | »Ø¸´: 4 | ||
vividysz½ð³æ (СÓÐÃûÆø)
|
[ÇóÖú]
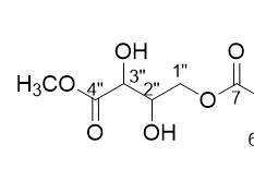
¹ØÓÚÓÃMosher·¨È·¶¨»¯ºÏÎïÁ¢Ìå¹¹ÐÍ ÒÑÓÐ1È˲ÎÓë
|
|
|
|
||
wohaimei½ð³æ (ÕýʽдÊÖ)
|
¡¾´ð°¸¡¿Ó¦Öú»ØÌû
|
|
|
2Â¥2015-12-03 10:42:00
|
|
|
vividysz½ð³æ (СÓÐÃûÆø)
|
||
|
3Â¥2015-12-03 11:34:27
|
|
|
ÃÎÏëÕÕ½øÏÖÊµÒø³æ (СÓÐÃûÆø)
|
|
|
![]() |
||
|
4Â¥2015-12-03 14:16:45
|
|
|
vividysz½ð³æ (СÓÐÃûÆø)
|
||
|
5Â¥2015-12-04 08:26:13
|
|














»Ø¸´´ËÂ¥
