| 查看: 1363 | 回复: 0 | ||
[求助]
气体浓度单位ppm如何换算成g hour-1 tonne -1 dm或者g kg-1 initial TS d-1
|
|
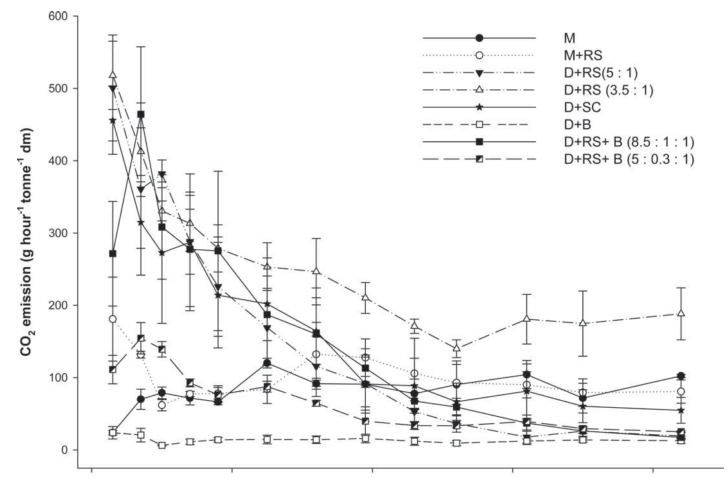
在气体监测方面,利用气体监测仪测出的数据单位为PPM,可直接度数,然而文献中大多数利用气相色谱仪进行监测,想请教一下气体浓度单位ppm如何换算成g hour-1 tonne -1 dm或者g kg-1 initial TS d-1,不知道能否进行换算?如图中所示,能否解释一下其代表的含义? 捕获.PNG 捕获1.PNG |
» 猜你喜欢
标题:捡漏预警|08工科/09农学调剂!英语要求低,过线即有机会!
已经有15人回复
硫酸镍结晶
已经有0人回复
建筑环境与结构工程论文润色/翻译怎么收费?
已经有214人回复
一志愿南大材料与化工(085600)357求调剂
已经有2人回复
接收环境科学方向调剂生1-2名
已经有2人回复
招收2026级环境科学方向(专业代码083001)硕士研究生1-2名
已经有4人回复
招收2026级环境科学方向(专业代码083001)硕士研究生1-2名
已经有14人回复
330一志愿中国海洋大学 085602 数二 英二 专硕 有读博意向 想找一个好的调剂院校
已经有0人回复
武汉纺织大学化学与化工学院招调剂,过线就要
已经有0人回复
330 一志愿中国海洋大学 085602 化学工程 专硕 有读博意向
已经有1人回复
329求调剂,一志愿西北工业大学,材料工程(085601)
已经有14人回复














回复此楼