| ²é¿´: 601 | »Ø¸´: 0 | ||
ÓÚÌïÀϱíÒø³æ (³õÈëÎÄ̳)
|
[ÇóÖú]
¼±£¡£¡£¡Çó´óÉñ°ïæ½â¾öһϷºº¯·½³ÌµÄ½¨Á¢ºÍѹÁ¦º¯ÊýµÄÇó½â
|
|
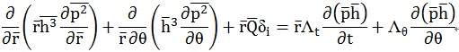
http:// ÕâÊǸöÎÞÁ¿¸ÙµÄÀ×ŵ·½³Ì Ï뽨Á¢ÒÔѹÁ¦º¯ÊýP£¨r,¦È£©Îª×Ô±äÁ¿µÄ·ºº¯ ²¢Çó³öѹÁ¦º¯ÊýµÄ·½³Ì Çó´óÉñÖ¸½Ì£¡£¡ 123.jpg |
» ²ÂÄãϲ»¶
»¯¹¤Ñ§Ë¶294·Ö£¬Çóµ¼Ê¦ÊÕÁô
ÒѾÓÐ11È˻ظ´
Ò»Ö¾Ô¸°²´óÉúÎïѧ07³õÊÔ322¡¢±¾¿Æ¶þ±¾¡¢µ÷¼ÁÇóÖú
ÒѾÓÐ11È˻ظ´
»¯Ñ§070300 Çóµ÷¼Á
ÒѾÓÐ13È˻ظ´
ʳƷÓëÓªÑø£¨0955£©271Çóµ÷¼Á
ÒѾÓÐ7È˻ظ´
085600²ÄÁÏÓ뻯¹¤349·ÖÇóµ÷¼Á
ÒѾÓÐ9È˻ظ´
Ò»Ö¾Ô¸ÖÐÄÏ´óѧ 0855 »úе 286 Çóµ÷¼Á
ÒѾÓÐ10È˻ظ´
²ÄÁÏ¿¼Ñе÷¼Á
ÒѾÓÐ29È˻ظ´
297¹¤¿Æ£¬Çóµ÷¼Á?
ÒѾÓÐ10È˻ظ´
211±¾¿Æ²ÄÁÏ»¯¹¤Çóµ÷¼Á
ÒѾÓÐ19È˻ظ´
0831Ò»ÂÖµ÷¼Áʧ°ÜÇóÖú
ÒѾÓÐ10È˻ظ´













»Ø¸´´ËÂ¥