| 查看: 460 | 回复: 4 | ||
小洋有你新虫 (小有名气)
|
[求助]
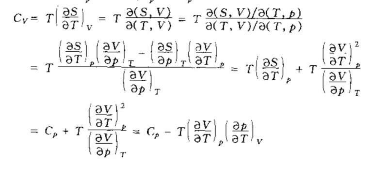
这个题怎么推 已有2人参与
|
|
第一题,还有锄地保墒什么原理呢? 发自小木虫Android客户端 |
» 猜你喜欢
武汉纺织大学-材料科学与工程学院-姜伟杰青团队-招生物方向调剂
已经有0人回复
武汉纺织大学-材料科学与工程学院-招 生物方向 硕士!
已经有0人回复
有机高分子材料论文润色/翻译怎么收费?
已经有200人回复
武汉纺织大学-材料科学与工程学院-姜伟杰青团队-招生物方向调剂
已经有0人回复
[武汉纺织大学]材料学院[姜伟团队名称]课题组-2026年硕士研究生调剂信息
已经有0人回复
武汉纺织大学-材料科学与工程学院-姜伟杰青团队-招调剂
已经有0人回复
生物医学材料前沿科普:低密度、高孔隙率的“多孔微球”核心技术与应用全景
已经有1人回复
湖南工业大学周贵寅课题组招生物医学工程(07、08都行)和生物与医药(0860)硕士生
已经有0人回复
湖南工业大学周贵寅课题组招生物医学工程(07、08都行)和生物与医药(0860)硕士生
已经有0人回复
考研求调剂
已经有0人回复
2026年中南民族大学化学与材料科学学院调剂公告
已经有8人回复
崇明先生
至尊木虫 (著名写手)
无机世界漫步者
- ICEPI: 8
- 应助: 501 (博士)
- 贵宾: 0.626
- 金币: 24950.7
- 散金: 238
- 红花: 103
- 沙发: 29
- 帖子: 2839
- 在线: 536小时
- 虫号: 3430055
- 注册: 2014-09-20
- 性别: GG
- 专业: 天然药物化学
【答案】应助回帖
★ ★ ★
感谢参与,应助指数 +1
青若: 金币+1, 谢谢回帖 2015-11-23 23:25:19
小洋有你(冰点降温代发): 金币+2 2015-12-25 15:03:38
感谢参与,应助指数 +1
青若: 金币+1, 谢谢回帖 2015-11-23 23:25:19
小洋有你(冰点降温代发): 金币+2 2015-12-25 15:03:38
|
锄地保墒就是说,平整的地面经过锄头锄之后,会变得疏松,这样破坏了原本存在的许多毛细孔,阻止了地里面的水分向上蒸发。主要是破坏了毛细现象。 发自小木虫Android客户端 |

2楼2015-11-23 16:17:58
谷中明
至尊木虫 (著名写手)
- ICEPI: 19
- 应助: 1264 (讲师)
- 贵宾: 0.482
- 金币: 24134.7
- 红花: 182
- 帖子: 2913
- 在线: 1911.3小时
- 虫号: 1883403
- 注册: 2012-07-08
- 性别: GG
- 专业: 热力学
3楼2015-11-23 16:28:10
小洋有你
新虫 (小有名气)
- 应助: 0 (幼儿园)
- 金币: 448.9
- 散金: 94
- 帖子: 141
- 在线: 55.9小时
- 虫号: 2436356
- 注册: 2013-04-25
- 性别: MM
- 专业: 药物分析
4楼2015-11-23 16:29:23
谷中明
至尊木虫 (著名写手)
- ICEPI: 19
- 应助: 1264 (讲师)
- 贵宾: 0.482
- 金币: 24134.7
- 红花: 182
- 帖子: 2913
- 在线: 1911.3小时
- 虫号: 1883403
- 注册: 2012-07-08
- 性别: GG
- 专业: 热力学
5楼2015-11-23 16:44:45














回复此楼