| ²é¿´: 839 | »Ø¸´: 4 | ||
blueShitSirгæ (³õÈëÎÄ̳)
|
[ÇóÖú]
PL Æ×ÏßÒì³£ ÒÑÓÐ1È˲ÎÓë
|
|
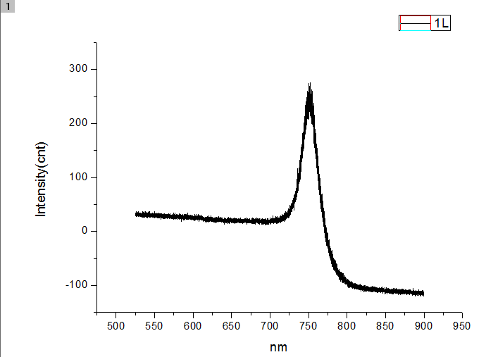
Çó½Ì¸÷룬ÈçϵÄPLÆ×ºÜÒì³££¬±íÏÖÔÚ·åµÄ³¤²¨¶ÎϽµÖÁ¸ºÖµ£¬Óë¶Ì²¨¶ÎµÄ»ùÏ߯«²î´ó¡£²âÁ¿Ê±×ÝÖᵥλΪ£¨cnt£©¡£ÇëÎÊÓÐËÖªµÀΪʲô»á³öÏÖÕâÖÖÇé¿ö£¿ÒÔ¼°Ä¿Ç°Õâ¸öÆ×ÏßÓ¦¸ÃÔõô´¦ÀíÒÔÖÁÓÚ׼ȷÇÒÕý³£¡£Ð»Ð»£¡ PL.png |
» ²ÂÄãϲ»¶
¹èÈܽººÍ¹èËáÄÆË®²£Á§¸ÉÔïºóµÄ½á¹¹ÎªÊ²Ã´³öÏÖÃ÷ÏÔ²îÒ죿
ÒѾÓÐ6È˻ظ´
ÇóIn2S3£¨JCPDS card number 32-0456£©µÄcifÎļþ
ÒѾÓÐ4È˻ظ´
½ðÊô²ÄÁÏÂÛÎÄÈóÉ«/·ÒëÔõôÊÕ·Ñ?
ÒѾÓÐ300È˻ظ´
0856²ÄÁÏ306·Öµ÷¼Á
ÒѾÓÐ4È˻ظ´
·Ç¾§ºÏ½ð
ÒѾÓÐ2È˻ظ´
¾§Ô²¼¤¹âÇи»¤Òº
ÒѾÓÐ0È˻ظ´
ÌØÊâ»·¾³ÏȽø½ðÊô²ÄÁÏɽÎ÷Ê¡ÖØµãʵÑéÊÒ½ÓÊÕ˶ʿÑо¿Éúµ÷¼ÁÐÅÏ¢
ÒѾÓÐ0È˻ظ´
ÌØÊâ»·¾³ÏȽø½ðÊô²ÄÁÏɽÎ÷Ê¡ÖØµãʵÑéÊÒ½ÓÊÕ˶ʿÑо¿Éúµ÷¼ÁÐÅÏ¢
ÒѾÓÐ0È˻ظ´
86592711
ÖÁ×ðľ³æ (Ö°Òµ×÷¼Ò)
- Ó¦Öú: 62 (³õÖÐÉú)
- ½ð±Ò: 17535.3
- É¢½ð: 1893
- ºì»¨: 8
- Ìû×Ó: 3378
- ÔÚÏß: 889Сʱ
- ³æºÅ: 536437
- ×¢²á: 2008-03-31
- רҵ: ¹¦ÄÜÌÕ´É
2Â¥2015-11-22 09:31:52
hbc1234
ľ³æ (СÓÐÃûÆø)
- Ó¦Öú: 46 (СѧÉú)
- ½ð±Ò: 4522.4
- ºì»¨: 5
- Ìû×Ó: 271
- ÔÚÏß: 182.5Сʱ
- ³æºÅ: 1105218
- ×¢²á: 2010-09-21
- ÐÔ±ð: GG
- רҵ: Äý¾Û̬ÎïÐÔ II £ºµç×ӽṹ
¡¾´ð°¸¡¿Ó¦Öú»ØÌû
¡ï ¡ï ¡ï ¡ï ¡ï ¡ï ¡ï ¡ï ¡ï ¡ï ¡ï ¡ï ¡ï ¡ï ¡ï ¡ï ¡ï ¡ï ¡ï ¡ï ¡ï ¡ï ¡ï ¡ï ¡ï ¡ï ¡ï ¡ï ¡ï ¡ï ¡ï ¡ï ¡ï ¡ï ¡ï ¡ï ¡ï ¡ï ¡ï ¡ï ¡ï ¡ï ¡ï ¡ï ¡ï ¡ï ¡ï ¡ï ¡ï ¡ï
¸Ðл²ÎÓ룬ӦÖúÖ¸Êý +1
blueShitSir: ½ð±Ò+50, ¡ï¡ï¡ïºÜÓаïÖú 2015-11-23 16:01:55
¸Ðл²ÎÓ룬ӦÖúÖ¸Êý +1
blueShitSir: ½ð±Ò+50, ¡ï¡ï¡ïºÜÓаïÖú 2015-11-23 16:01:55
|
1. ÕâÖÖÑùÆ·µÄ¹âÆ×Ó¦¸ÃÊÇʲôÑùµÄ£¿Á½²à»ùÏß²»Ò»Ñù¸ßµÄ¹âÆ×Ò²Óкܶ࣬Ê×ÏÈÒªÖªµÀÕæÊµ¹âÆ×ÐÎ×´¡£Èç¹ûÐÎ×´±¾Ó¦Èç´Ë£¬Ö»ÊǼÆÊý³öÏÖ¸ºÖµ£¬Ò»°ãÊÇÒÇÆ÷¿Û³ý±³¾°¼ÆÊýµÄ¹ý³Ì³öÏÖÒì³£¡£ÕâÖÖÇé¿ö¿ÉÄÜÊÇshutterÔÚ²âÊÔ¿ªÊ¼Ç°²»ÄÜÕý³£¹Ø±Õ¡£ 2. ÄãµÄÉ豸ÓÐûÓвâ¹ýÕâ¸ö²¨¶ÎµÄ¹âÆ×£¿Ö®Ç°ÊÇ·ñÕý³££¿Èç¹ûÒÔǰһÇÐÕý³££¬ÔòÓ¦¸Ã¿¼ÂÇ̽²âÆ÷(CCD»òPMTµÈ)¿ÉÄܳöÏÖ¹ÊÕÏ£¬µ¼Ö½üºìÍⲨ¶ÎµÄ¹âµçת»»Ð§ÂÊ·¢ÉúÃ÷ÏÔϽµ¡£ 3. Èç¹ûÕâÊÇÄãµÄ¹âÆ×ÒǵÚÒ»´Î²âÕâ¸ö²¨¶Î£¬ÔòÐèÒª²é¿´¹âÆ×ÒǵĹâÕ¤ºÍ̽²âÆ÷²ÎÊý£¬¿´¿´ÕâЩ²¿¼þÔÚ>750nm·¶Î§µÄÏìÓ¦¶ÈÈçºÎ¡£ÓпÉÄÜËüÃDZ¾À´ÔÚÕâ¸ö²¨¶ÎµÄÏìÓ¦¾ÍºÜÈõ¡£ |
3Â¥2015-11-22 18:13:50
blueShitSir
гæ (³õÈëÎÄ̳)
- Ó¦Öú: 0 (Ó×¶ùÔ°)
- ½ð±Ò: 81.2
- É¢½ð: 12
- Ìû×Ó: 31
- ÔÚÏß: 9.3Сʱ
- ³æºÅ: 3891986
- ×¢²á: 2015-05-23
- רҵ: Äý¾Û̬ÎïÐÔ II £ºµç×ӽṹ
4Â¥2015-11-23 16:01:34
hbc1234
ľ³æ (СÓÐÃûÆø)
- Ó¦Öú: 46 (СѧÉú)
- ½ð±Ò: 4522.4
- ºì»¨: 5
- Ìû×Ó: 271
- ÔÚÏß: 182.5Сʱ
- ³æºÅ: 1105218
- ×¢²á: 2010-09-21
- ÐÔ±ð: GG
- רҵ: Äý¾Û̬ÎïÐÔ II £ºµç×ӽṹ
5Â¥2015-11-25 09:03:43














»Ø¸´´ËÂ¥