| 查看: 543 | 回复: 6 | ||
白狼bl金虫 (小有名气)
|
[求助]
电化学 已有1人参与
|
|
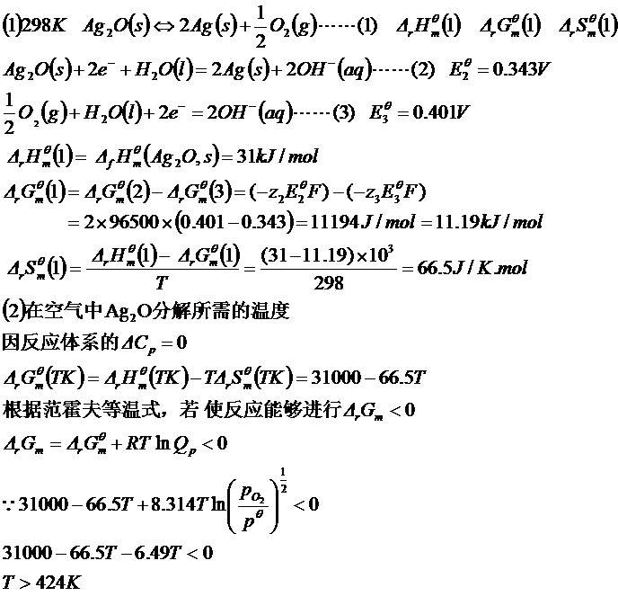
看看这第八题,看不清楚就看第二个手写的 发自小木虫IOS客户端 |
» 猜你喜欢
什么脱膜剂可以完全清洗干净啊?
已经有2人回复
暨南大学化学与材料学院赵宇亮院士正在招博士和博后,方向为生物材料和纳米医学
已经有1人回复
有机高分子材料论文润色/翻译怎么收费?
已经有292人回复
可生物降解聚酯正在重塑现代医疗器械
已经有0人回复
26届博士申请
已经有2人回复
PLLA 微球在生物医学领域的研究与应用
已经有1人回复
PLLA 微球的材料特性与制备工艺解析
已经有0人回复
医用聚己内酯(PCL)全解析:从两段式降解到组织工程应用
已经有0人回复
反相硅胶如何再生?
已经有1人回复

谷中明
至尊木虫 (著名写手)
- ICEPI: 19
- 应助: 1264 (讲师)
- 贵宾: 0.482
- 金币: 24134.7
- 红花: 182
- 帖子: 2913
- 在线: 1911.3小时
- 虫号: 1883403
- 注册: 2012-07-08
- 性别: GG
- 专业: 热力学
2楼2015-11-21 09:29:12
白狼bl
金虫 (小有名气)
- 应助: 2 (幼儿园)
- 金币: 1314.6
- 散金: 66
- 帖子: 227
- 在线: 35.6小时
- 虫号: 4046171
- 注册: 2015-09-01
- 性别: GG
- 专业: 理论法学

3楼2015-11-21 12:11:55
谷中明
至尊木虫 (著名写手)
- ICEPI: 19
- 应助: 1264 (讲师)
- 贵宾: 0.482
- 金币: 24134.7
- 红花: 182
- 帖子: 2913
- 在线: 1911.3小时
- 虫号: 1883403
- 注册: 2012-07-08
- 性别: GG
- 专业: 热力学
4楼2015-11-21 12:25:37
白狼bl
金虫 (小有名气)
- 应助: 2 (幼儿园)
- 金币: 1314.6
- 散金: 66
- 帖子: 227
- 在线: 35.6小时
- 虫号: 4046171
- 注册: 2015-09-01
- 性别: GG
- 专业: 理论法学

5楼2015-11-21 13:23:47
谷中明
至尊木虫 (著名写手)
- ICEPI: 19
- 应助: 1264 (讲师)
- 贵宾: 0.482
- 金币: 24134.7
- 红花: 182
- 帖子: 2913
- 在线: 1911.3小时
- 虫号: 1883403
- 注册: 2012-07-08
- 性别: GG
- 专业: 热力学
6楼2015-11-21 13:34:02
白狼bl
金虫 (小有名气)
- 应助: 2 (幼儿园)
- 金币: 1314.6
- 散金: 66
- 帖子: 227
- 在线: 35.6小时
- 虫号: 4046171
- 注册: 2015-09-01
- 性别: GG
- 专业: 理论法学

7楼2015-11-21 13:34:52













回复此楼