| 查看: 540 | 回复: 2 | ||
[求助]
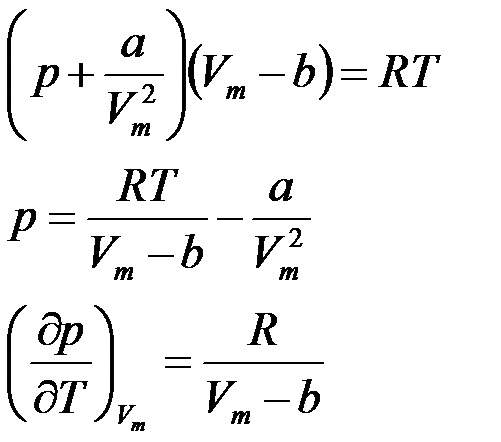
范德华气体 已有1人参与
|
|
范德华 发自小木虫Android客户端 |
» 猜你喜欢
2026年武汉纺织大学国家杰青课题组招收调剂化学 生物 医学 食品 环境研究生
已经有16人回复
武汉纺织大学-材料科学与工程学院-姜伟杰青团队-招生物方向调剂
已经有0人回复
有机高分子材料论文润色/翻译怎么收费?
已经有129人回复
武汉纺织大学-材料科学与工程学院-招 生物方向 硕士!
已经有0人回复
武汉纺织大学-材料科学与工程学院-姜伟杰青团队-招生物方向调剂
已经有0人回复
[武汉纺织大学]材料学院[姜伟团队名称]课题组-2026年硕士研究生调剂信息
已经有0人回复
武汉纺织大学-材料科学与工程学院-姜伟杰青团队-招调剂
已经有0人回复
生物医学材料前沿科普:低密度、高孔隙率的“多孔微球”核心技术与应用全景
已经有1人回复
湖南工业大学周贵寅课题组招生物医学工程(07、08都行)和生物与医药(0860)硕士生
已经有0人回复
湖南工业大学周贵寅课题组招生物医学工程(07、08都行)和生物与医药(0860)硕士生
已经有0人回复
考研求调剂
已经有0人回复
谷中明
至尊木虫 (著名写手)
- ICEPI: 19
- 应助: 1264 (讲师)
- 贵宾: 0.482
- 金币: 24134.7
- 红花: 182
- 帖子: 2913
- 在线: 1911.3小时
- 虫号: 1883403
- 注册: 2012-07-08
- 性别: GG
- 专业: 热力学
2楼2015-11-20 11:09:31
3楼2015-11-20 16:25:48














回复此楼