24小时热门版块排行榜    

北京石油化工学院2026年研究生招生接收调剂公告
查看: 1933  |  回复: 0

zyabdnon

新虫 (初入文坛)

[交流] 求算法大师解释一下龙格库塔迭代方法

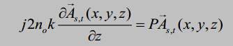
最近在看Beam Propagation Model的数值计算,其中有一个微分方程公式如下:

求算法大师解释一下龙格库塔迭代方法

其中P是算子,形式如下:

求算法大师解释一下龙格库塔迭代方法-1

n0,k,beta给定,n在横场上有二维分布。

可以用给定的A(x,y,z)的场分布来确定A(x,y,z+delta_z)的场分布,我用matlab尝试了直接数值求解和差分法求解,但是都因为数值误差导致步数多了之面场分布不对。

看文献中别人是用的龙格库塔迭代来算的A(x,y,z+delta_z),不知道哪位算法大师能解释一下是怎么一个迭代过程得到的A(x,y,z+delta_z)。

跪谢啊!!
回复此楼

» 猜你喜欢

已阅   回复此楼   关注TA 给TA发消息 送TA红花 TA的回帖
相关版块跳转 我要订阅楼主 zyabdnon 的主题更新
普通表情 高级回复 (可上传附件)
最具人气热帖推荐 [查看全部] 作者 回/看 最后发表
[考研] 一志愿哈尔滨工业大学材料与化工方向336分 +5 辰沐5211314 2026-03-26 5/250 2026-03-28 01:48 by 飞行日记西
[考研] 0856,材料与化工321分求调剂 +7 大馋小子 2026-03-27 8/400 2026-03-27 22:31 by 无际的草原
[考研] 295材料工程专硕求调剂 +5 1428151015 2026-03-27 5/250 2026-03-27 22:17 by 无际的草原
[有机交流] 高温高压反应求助 10+4 chibby 2026-03-25 4/200 2026-03-27 21:08 by BT20230424
[考研] 一志愿211院校 344分 东北农业大学生物学学硕,求调剂 +5 丶风雪夜归人丶 2026-03-26 8/400 2026-03-27 19:22 by 丶风雪夜归人丶
[考研] 食品工程专硕一志愿中海洋309求调剂 +3 小张zxy张 2026-03-26 5/250 2026-03-27 18:42 by 小张zxy张
[考研] 322求调剂 +4 旧吢 2026-03-24 4/200 2026-03-27 15:38 by 不吃魚的貓
[考研] 287求调剂 +10 land xuxu 2026-03-26 10/500 2026-03-27 15:33 by 帕尔马拉特
[考研] 一志愿北化085600材料专硕275|有文章专利|求调剂 +3 Micky11223 2026-03-25 3/150 2026-03-27 14:52 by 醉在风里
[考研] 322求调剂 +4 我真的很想学习 2026-03-23 4/200 2026-03-27 13:51 by 杨杨杨紫
[考研] 359求调剂 +4 王了个楠 2026-03-25 4/200 2026-03-27 08:43 by 不吃魚的貓
[考研] 349求调剂 +5 杰斯塔里斯 2026-03-21 5/250 2026-03-27 00:31 by wxiongid
[考研] 349求调剂 +4 李木子啊哈哈 2026-03-25 4/200 2026-03-26 22:49 by fmesaito
[考研] 279求调剂 +6 红衣隐官 2026-03-21 6/300 2026-03-26 18:32 by 不吃魚的貓
[考研] 材料277求调剂 +5 min3 2026-03-24 5/250 2026-03-26 15:13 by zzll406
[考研] 296求调剂 +4 汪!?! 2026-03-25 7/350 2026-03-25 16:41 by 汪!?!
[考研] 311求调剂 +3 冬十三 2026-03-24 3/150 2026-03-24 21:31 by peike
[考研] 一志愿重庆大学085700资源与环境,总分308求调剂 +7 墨墨漠 2026-03-23 8/400 2026-03-23 20:36 by Creta
[考研] 285求调剂 +6 ytter 2026-03-22 6/300 2026-03-22 12:09 by 星空星月
[考研] 一志愿深大,0703化学,总分302,求调剂 +4 七月-七七 2026-03-21 4/200 2026-03-21 18:20 by 学员8dgXkO
信息提示
请填处理意见