| 查看: 468 | 回复: 2 | |
guxingpq新虫 (小有名气)
|
[求助]
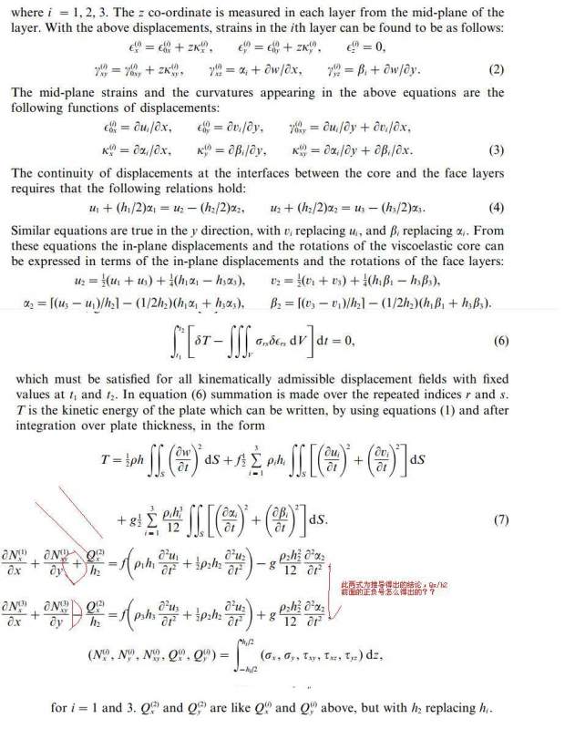
求:粘弹性复合材料层合板的平衡方程(动力方程)
|
|
|
|
guxingpq新虫 (小有名气)
|
|
|
2楼2015-11-20 10:16:40
|
|
guxingpq新虫 (小有名气)
|
|
|
3楼2015-11-21 20:52:04
|
|













回复此楼