| ²é¿´: 453 | »Ø¸´: 3 | ||
СÃ×Â̶¹ÖÛÌú³æ (³õÈëÎÄ̳)
|
[ÇóÖú]
´øµçÁ£×ӹ켣 ÒÑÓÐ1È˲ÎÓë
|
|
ÎҸе½Õâ¸ö²»¶Ô http://tieba.baidu.com/p/4168067215?pid=79282798902&cid=79293131583#79293131583 IMG_20151119_091350.jpg |
» ²ÂÄãϲ»¶
»¯¹¤Ñ§Ë¶294·Ö£¬Çóµ¼Ê¦ÊÕÁô
ÒѾÓÐ29È˻ظ´
Çóµ÷¼Á
ÒѾÓÐ10È˻ظ´
¿¼ÑÐÇóµ÷¼Á
ÒѾÓÐ13È˻ظ´
Çóµ÷¼Á
ÒѾÓÐ3È˻ظ´
È˹¤ÖÇÄÜ320µ÷¼Á08¹¤À໹Óлú»áÂð
ÒѾÓÐ17È˻ظ´
¿¼ÑÐÓ¢Ò»ÊýÒ»338·Ö
ÒѾÓÐ10È˻ظ´
ÇóÖúµ÷¼Á£¬¿çµ÷
ÒѾÓÐ15È˻ظ´
085600²ÄÁÏÓ뻯¹¤329·ÖÇóµ÷¼Á
ÒѾÓÐ20È˻ظ´
085600²ÄÁÏÓ뻯¹¤349·ÖÇóµ÷¼Á
ÒѾÓÐ15È˻ظ´
Çóµ÷¼Á
ÒѾÓÐ13È˻ظ´
fang_sea001
гæ (³õÈëÎÄ̳)
- Ó¦Öú: 4 (Ó×¶ùÔ°)
- ½ð±Ò: 930.1
- ºì»¨: 1
- Ìû×Ó: 50
- ÔÚÏß: 28.3Сʱ
- ³æºÅ: 4231282
- ×¢²á: 2015-11-19
- רҵ: »ù´¡ÎïÀíѧ
¡¾´ð°¸¡¿Ó¦Öú»ØÌû
¸Ðл²ÎÓ룬ӦÖúÖ¸Êý +1
|
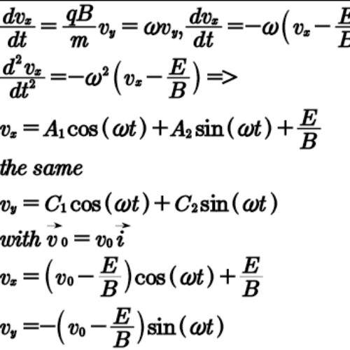
ÒÔˮƽÏòÓÒ£¬ÊúÖ±ÏòÏ£¬´¹Ö±Ö¸ÏòÖ½ÏÂΪx,y,zÕý·½Ïò½¨Á¢Ô˶¯·½³Ì£¬µÃ³öa_x=w*v_y,a_y=-w*£¨v_x£E/B£©,ÔÙ¶ÔÕâÁ½Ê½Çóʱ¼ätµÄµ¼Êý£¬µÃµ½½á¹ûv_x=£¨v_0£E/B£©cos£¨w*t£©+E/B,v_y=-£¨v_0-E/B£©sin£¨w*t£©,w=qB/m ·¢×ÔСľ³æAndroid¿Í»§¶Ë |
2Â¥2015-11-20 23:26:51
fang_sea001
гæ (³õÈëÎÄ̳)
- Ó¦Öú: 4 (Ó×¶ùÔ°)
- ½ð±Ò: 930.1
- ºì»¨: 1
- Ìû×Ó: 50
- ÔÚÏß: 28.3Сʱ
- ³æºÅ: 4231282
- ×¢²á: 2015-11-19
- רҵ: »ù´¡ÎïÀíѧ
3Â¥2015-11-21 00:21:51
fang_sea001
гæ (³õÈëÎÄ̳)
- Ó¦Öú: 4 (Ó×¶ùÔ°)
- ½ð±Ò: 930.1
- ºì»¨: 1
- Ìû×Ó: 50
- ÔÚÏß: 28.3Сʱ
- ³æºÅ: 4231282
- ×¢²á: 2015-11-19
- רҵ: »ù´¡ÎïÀíѧ
4Â¥2015-11-21 00:24:29














»Ø¸´´ËÂ¥