| 查看: 1502 | 回复: 2 | |
[求助]
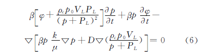
用COMSOL做瓦斯渗流模拟,方程有了,如图。在系数型偏微分方程里怎么设置各参数
|
|
|
|
|
|
2楼2016-01-20 22:18:41
|
|
|
3楼2017-04-19 00:08:16
|
|













回复此楼
楼主 搞得怎么样了 可否学习一下
20