24小时热门版块排行榜    

Znn3bq.jpeg
查看: 321  |  回复: 0

光辉岁月ww

金虫 (初入文坛)

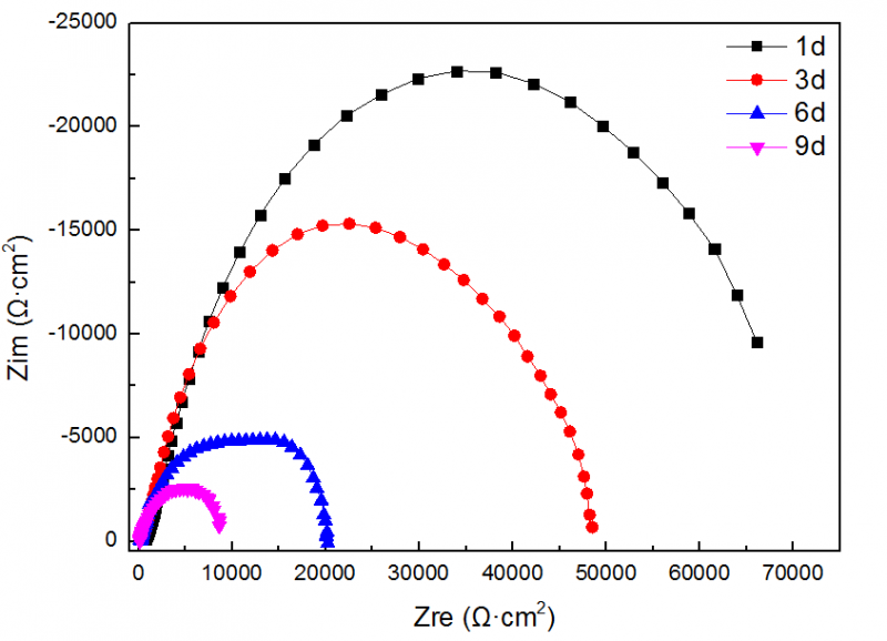
[求助] 求助等效电路图

基体是镁合金,在镁合金上制备一层PLA聚合物涂层,将其浸泡在hank's模拟体液中,请大神指教等效电路图的画法。

求助等效电路图
TH@9T)PF0B2Y2AV_175XP(0.png
回复此楼
已阅   回复此楼   关注TA 给TA发消息 送TA红花 TA的回帖
相关版块跳转 我要订阅楼主 光辉岁月ww 的主题更新
最具人气热帖推荐 [查看全部] 作者 回/看 最后发表
[基金申请] 同样的基金本子,换个专家直接从C变A! +3 国自然国社科中 2026-05-19 3/150 2026-05-19 08:50 by Equinoxhua
[考博] 2026博士还有哪些学校有名额 +7 小王求读研 2026-05-15 8/400 2026-05-19 08:27 by zhyzzh
[基金申请] 面上本子正文33页,违规吗?会被低分嘛? +8 1234567wang 2026-05-17 10/500 2026-05-18 18:52 by zzahkj
[基金申请] 今年审到国自然15份,谈谈感受 +16 国自然国社科中 2026-05-17 16/800 2026-05-18 14:58 by gy116024
[硕博家园] 考博自荐 +5 科研狗111 2026-05-13 6/300 2026-05-18 11:22 by 糊糊涂涂好
[硕博家园] 我在等一个没有答案的答案 +3 Love_MH 2026-05-17 3/150 2026-05-18 02:22 by 竹林孤影
[硕博家园] 售SCI一区T0P文章,我:8.O.5.5.1.O.5.4,科目齐全,可+急 +6 l7k6xnh0yc 2026-05-14 7/350 2026-05-17 19:42 by Equinoxhua
[公派出国] 售SCI一区T0P文章,我:8.O.5.5.1.O.5.4,科目齐全,可+急 +4 v9tggjlwd0 2026-05-15 5/250 2026-05-17 18:39 by Equinoxhua
[基金申请] 这年头没有找到涵评专家,还有中面上的可能吗 +13 dd921ww 2026-05-12 16/800 2026-05-17 12:38 by 于轩
[硕博家园] 售SCI一区T0P文章,我:8.O.5.5.1.O.5.4,科目齐全,可+急 +4 v9tggjlwd0 2026-05-15 4/200 2026-05-17 08:06 by 11n4dfd8yn
[找工作] 售SCI一区T0P文章,我:8.O.5.5.1.O.5.4,科目齐全,可+急 +3 l7k6xnh0yc 2026-05-14 6/300 2026-05-17 07:31 by 11n4dfd8yn
[考研] 售SCI一区T0P文章,我:8.O.5.5.1.O.5.4,科目齐全,可+急 +4 l7k6xnh0yc 2026-05-14 8/400 2026-05-17 07:26 by 11n4dfd8yn
[找工作] 售SCI一区T0P文章,我:8.O.5.5.1.O.5.4,科目齐全,可+急 +3 k37jurhrau 2026-05-16 3/150 2026-05-17 01:37 by ue3ir18jc3
[博后之家] 售SCI一区T0P文章,我:8.O.5.5.1.O.5.4,科目齐全,可+急 +4 k37jurhrau 2026-05-16 4/200 2026-05-17 01:35 by ue3ir18jc3
[考研] 售SCI一区T0P文章,我:8.O.5.5.1.O.5.4,科目齐全,可+急 +3 k37jurhrau 2026-05-16 3/150 2026-05-17 01:25 by ue3ir18jc3
[考研] 售SCI一区T0P文章,我:8.O.5.5.1.O.5.4,科目齐全,可+急 +3 ky2p12rrjj 2026-05-15 4/200 2026-05-17 00:50 by ue3ir18jc3
[公派出国] 售SCI一区T0P文章,我:8.O.5.5.1.O.5.4,科目齐全,可+急 +3 x0mp7owy2b 2026-05-15 4/200 2026-05-17 00:35 by ue3ir18jc3
[有机交流] 求有机合成大神指点三硫酸乙烯酯(CAS:2793408-99-6)的合成路线 30+3 Leekmid 2026-05-13 10/500 2026-05-16 16:37 by czyzsu
[硕博家园] 申请博士 +3 呃?呃 2026-05-15 3/150 2026-05-16 11:01 by a4742549
[论文投稿] 求助大佬sci投稿哪个好中 +3 江沅188 2026-05-12 4/200 2026-05-13 14:35 by 江沅188
信息提示
请填处理意见