| 查看: 1549 | 回复: 3 | |
[求助]
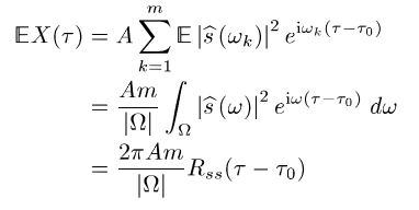
求问这个公式怎么从离散的求和推导到连续时域积分了? 已有1人参与
|
|
|
|
|
ll550木虫 (职业作家)
|
|
![]() |
|
|
2楼2015-11-17 22:23:06
|
|
tangbo5885铁杆木虫 (正式写手)
|
|
|
3楼2015-11-18 12:36:09
|
|
suntree4152铁虫 (正式写手)
|
|
|
4楼2015-11-20 22:12:25
|
|














回复此楼