24小时热门版块排行榜    

查看: 500  |  回复: 0

tengnianj

银虫 (正式写手)

[求助] 两种材料扩散问题,由于扩散系数相差太大,边界出现负浓度

物质在两种材料扩散问题,由于扩散系数相差太大,一个是0.2平方微米/s,一个是850.。。。
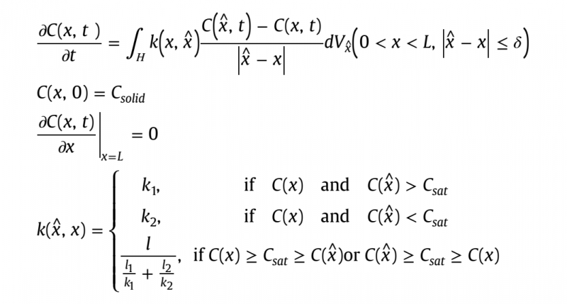
t=0,全部为固体,固体溶解后变成液体,组成了两相系统,物质在固体中扩散系数很小0.2,在固体溶解而形成的液体里扩散系数850。
用matlab编程后,在固体单元溶解后一时间步,因为单元由固体单元变为液体单元,扩散系数骤升,在这个单元里出现负浓度
怎么解决呢?
我是假设固体浓度小于5100,转为液体单元。
0        0        0        0        5100.99374766378        15315.2923817131        25403.8620826585        35273.5619256517        44861.1440037620
0        0        0        0        5094.49299908579        15295.7139250265        25371.6936465030        35229.6461519598        44806.5449648609
0        0        0        0        -715708.322470339        14135.7520797776        25069.2255983403        35089.3652581321        44729.4578273920
0        0        0        0        100715835.600608        -9904.10103527261        17081.3477754197        30329.4434194061        41349.3721670330
用的是peridynamic 模型。扩散方程上传到图片了。

两种材料扩散问题,由于扩散系数相差太大,边界出现负浓度
扩散方程.png


两种材料扩散问题,由于扩散系数相差太大,边界出现负浓度-1
diffusion model.png
回复此楼

» 猜你喜欢

» 本主题相关商家推荐: (我也要在这里推广)

已阅   回复此楼   关注TA 给TA发消息 送TA红花 TA的回帖
相关版块跳转 我要订阅楼主 tengnianj 的主题更新
最具人气热帖推荐 [查看全部] 作者 回/看 最后发表
[考研] 材料与化工085600,总分304,本科有两篇sci参与,求调剂 +4 幸运的酱酱 2026-03-22 5/250 2026-03-22 20:15 by edmund7
[考研] 289材料与化工(085600)B区求调剂 +3 这么名字咋样 2026-03-22 4/200 2026-03-22 17:56 by 云民大李老师
[考研] 319求调剂 +4 小力气珂珂 2026-03-20 4/200 2026-03-22 15:53 by ColorlessPI
[考研] 求调剂 +7 Auroracx 2026-03-22 7/350 2026-03-22 12:38 by 素颜倾城1988
[考研] 286分人工智能专业请求调剂愿意跨考! +4 lemonzzn 2026-03-17 8/400 2026-03-21 22:49 by lemonzzn
[考研] 求调剂 +3 13341 2026-03-20 3/150 2026-03-21 18:28 by 学员8dgXkO
[考研] 一志愿深大,0703化学,总分302,求调剂 +4 七月-七七 2026-03-21 4/200 2026-03-21 18:20 by 学员8dgXkO
[考研] 311求调剂 +3 勇敢的小吴 2026-03-20 3/150 2026-03-21 17:40 by ColorlessPI
[考研] 330求调剂0854 +3 assdll 2026-03-21 3/150 2026-03-21 13:01 by 搏击518
[考研] 材料工程(专)一志愿985 初试335求调剂 +3 hiloiy 2026-03-17 4/200 2026-03-21 03:04 by JourneyLucky
[考研] 085700资源与环境308求调剂 +12 墨墨漠 2026-03-18 13/650 2026-03-21 01:42 by JourneyLucky
[考研] 一志愿 西北大学 ,070300化学学硕,总分287,双非一本,求调剂。 +4 晨昏线与星海 2026-03-19 4/200 2026-03-20 22:15 by JourneyLucky
[考研] 350求调剂 +5 weudhdk 2026-03-19 5/250 2026-03-20 22:04 by luoyongfeng
[考研] 290求调剂 +7 ^O^乜 2026-03-19 7/350 2026-03-20 21:43 by JourneyLucky
[考研] 一志愿 南京航空航天大学大学 ,080500材料科学与工程学硕 +5 @taotao 2026-03-20 5/250 2026-03-20 20:16 by JourneyLucky
[考研] 材料与化工求调剂 +7 为学666 2026-03-16 7/350 2026-03-19 14:48 by 尽舜尧1
[考研] 085600材料与化工调剂 324分 +10 llllkkkhh 2026-03-18 12/600 2026-03-19 14:33 by llllkkkhh
[考研] 085600材料与化工求调剂 +6 绪幸与子 2026-03-17 6/300 2026-03-19 13:27 by houyaoxu
[考研] 085601专硕,总分342求调剂,地区不限 +5 share_joy 2026-03-16 5/250 2026-03-18 14:48 by haxia
[考研] 085601求调剂 +4 Du.11 2026-03-16 4/200 2026-03-17 17:08 by ruiyingmiao
信息提示
请填处理意见