| 查看: 2834 | 回复: 1 | |||
[交流]
Roe格式+MUSCL插值
|
|
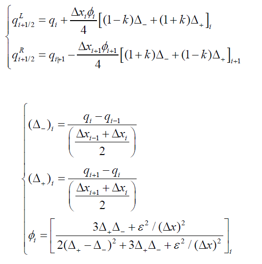
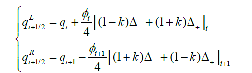
大家好, 最近在将刚写的Roe格式由一阶利用MUSCL插值修改成三阶格式,其中由于使用的是有限体积法,可以避免坐标变换,然而在进行MUSCL插值时是不是必须进行坐标变换阿?还有我在结构化网格下做,现在想到将原始均匀网格下的MUSCL插值改为了以下形式,不知对否,请大家点评,谢谢 原始MUSCL.png 修改MUSCL.png |
» 猜你喜欢
体制内长辈说体制内绝大部分一辈子在底层,如同你们一样大部分普通教师忙且收入低
已经有18人回复
面上可以超过30页吧?
已经有7人回复
网上报道青年教师午睡中猝死、熬夜猝死的越来越多,主要哪些原因引起的?
已经有5人回复
“人文社科而论,许多学术研究还没有达到民国时期的水平”
已经有6人回复
版面费该交吗
已经有13人回复
为什么中国大学工科教授们水了那么多所谓的顶会顶刊,但还是做不出宇树机器人?
已经有10人回复
什么是人一生最重要的?
已经有4人回复
2楼2015-11-29 17:47:08













回复此楼