| 查看: 842 | 回复: 7 | ||
wu1309122143至尊木虫 (知名作家)
|
[求助]
物化题,几个关于电动势的疑问,求助 已有1人参与
|
|
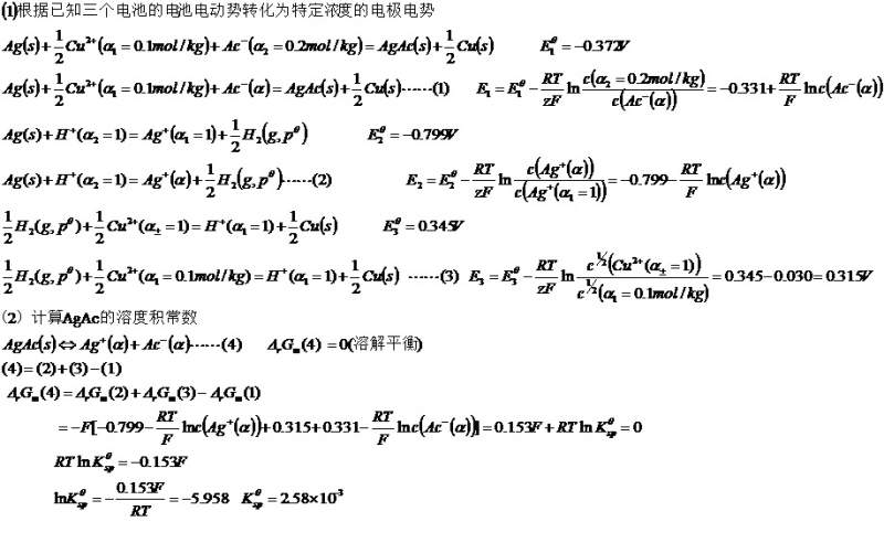
1第3题划线部分,如何根据水的离子积常数求出电极电势的?求过程 2第5题的(3)问,如何做?解答和分析过程 谢谢 18B4A26AFDEC204175DD9F4F857B9CD0.jpg 7908AF510EF793F7D730C66A4CE09FDA.jpg 022C6795F3FE4D8601797A1CCD2984DB.jpg |
» 猜你喜欢
武汉纺织大学-材料科学与工程学院-姜伟杰青团队-招生物方向调剂
已经有0人回复
武汉纺织大学-材料科学与工程学院-招 生物方向 硕士!
已经有0人回复
有机高分子材料论文润色/翻译怎么收费?
已经有288人回复
武汉纺织大学-材料科学与工程学院-姜伟杰青团队-招生物方向调剂
已经有0人回复
[武汉纺织大学]材料学院[姜伟团队名称]课题组-2026年硕士研究生调剂信息
已经有0人回复
武汉纺织大学-材料科学与工程学院-姜伟杰青团队-招调剂
已经有0人回复
生物医学材料前沿科普:低密度、高孔隙率的“多孔微球”核心技术与应用全景
已经有1人回复
湖南工业大学周贵寅组招生物医学工程(学硕07、08都行)、生物与医药(专硕08)硕士生
已经有0人回复
湖南工业大学周贵寅组招生物医学工程(学硕07、08都行)和生物与医药(专硕08)硕士生
已经有0人回复
考研求调剂
已经有0人回复
2026年中南民族大学化学与材料科学学院调剂公告
已经有11人回复

wu1309122143
至尊木虫 (知名作家)
- 应助: 138 (高中生)
- 金币: 12140.8
- 散金: 406
- 红花: 31
- 帖子: 5201
- 在线: 444.2小时
- 虫号: 3818874
- 注册: 2015-04-15
- 性别: GG
- 专业: 有机分子功能材料化学

2楼2015-11-13 11:25:58
wu1309122143
至尊木虫 (知名作家)
- 应助: 138 (高中生)
- 金币: 12140.8
- 散金: 406
- 红花: 31
- 帖子: 5201
- 在线: 444.2小时
- 虫号: 3818874
- 注册: 2015-04-15
- 性别: GG
- 专业: 有机分子功能材料化学

3楼2015-11-13 15:22:26
谷中明
至尊木虫 (著名写手)
- ICEPI: 19
- 应助: 1264 (讲师)
- 贵宾: 0.482
- 金币: 24134.7
- 红花: 182
- 帖子: 2913
- 在线: 1911.3小时
- 虫号: 1883403
- 注册: 2012-07-08
- 性别: GG
- 专业: 热力学
4楼2015-11-13 19:35:04
wu1309122143
至尊木虫 (知名作家)
- 应助: 138 (高中生)
- 金币: 12140.8
- 散金: 406
- 红花: 31
- 帖子: 5201
- 在线: 444.2小时
- 虫号: 3818874
- 注册: 2015-04-15
- 性别: GG
- 专业: 有机分子功能材料化学

5楼2015-11-13 23:20:11
wu1309122143
至尊木虫 (知名作家)
|
赞 |
6楼2015-11-13 23:20:19
wu1309122143
至尊木虫 (知名作家)
- 应助: 138 (高中生)
- 金币: 12140.8
- 散金: 406
- 红花: 31
- 帖子: 5201
- 在线: 444.2小时
- 虫号: 3818874
- 注册: 2015-04-15
- 性别: GG
- 专业: 有机分子功能材料化学

7楼2015-11-13 23:21:02
谷中明
至尊木虫 (著名写手)
- ICEPI: 19
- 应助: 1264 (讲师)
- 贵宾: 0.482
- 金币: 24134.7
- 红花: 182
- 帖子: 2913
- 在线: 1911.3小时
- 虫号: 1883403
- 注册: 2012-07-08
- 性别: GG
- 专业: 热力学
8楼2015-11-14 00:28:35














回复此楼
