| 查看: 624 | 回复: 1 | ||
甘苦人生金虫 (小有名气)
|
[求助]
求助ESR的谱图分析
|
|
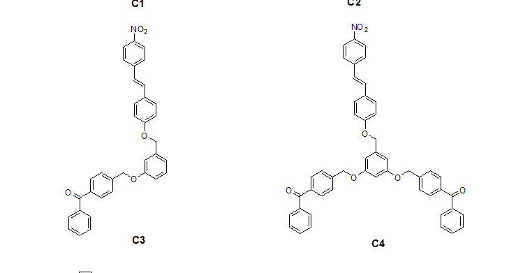
如图,这是一个有机化合物,C3,C4 结构如图,光引发剂,里面含有二苯甲酮片段,和三乙醇胺在光照下,捕捉自由基,请问这个谱图怎么分析啊,看不懂······求解答谢谢各位,跪求解答 1.png 2.png |
» 猜你喜欢
一志愿南航 335分 | 0856 | GPA 4.07 | 有科研经历
已经有8人回复
求调剂
已经有5人回复
求化学调剂
已经有5人回复
085600,材料与化工321分求调剂
已经有10人回复
0703 化学 求调剂,一志愿山东大学 342 分
已经有5人回复
一志愿南开大学0710生物学359求调剂
已经有3人回复
085600,专业课化工原理,320分求调剂
已经有4人回复
材料与化工272求调剂
已经有16人回复
290求调剂
已经有3人回复
327求调剂
已经有3人回复
甘苦人生
金虫 (小有名气)
- 应助: 19 (小学生)
- 金币: 1002.5
- 红花: 1
- 帖子: 87
- 在线: 11.9小时
- 虫号: 2664551
- 注册: 2013-09-18
- 性别: GG
- 专业: 有机合成
2楼2015-11-11 21:44:46














回复此楼