±±¾©Ê¯ÓÍ»¯¹¤Ñ§Ôº2026ÄêÑо¿ÉúÕÐÉú½ÓÊÕµ÷¼Á¹«¸æ
²é¿´: 719  |  »Ø¸´: 0

yujia__

Í­³æ (СÓÐÃûÆø)

[ÇóÖú] ±ß½çÌõ¼þµÄÈ·¶¨

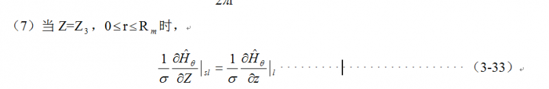
ÀÏʦÈÃËãϵçÔüÖØÈÛ¹ý³Ì½»Á÷µçµÄµç´Å³¡£¬ÆäÖÐÓиö±ß½çÌõ¼þÈçͼÉÏËùʾ¡£Õâ¸öÔÚ»­Íø¸ñʱû¶¨Ò壬µ¼Èëfluentºó£¬fluentĬÈÏΪwallÀàÐÍ£¬²¢Éú³ÉÁËwall-shadow¡£²»ÖªµÀÕâÖֱ߽çÌõ¼þÔÚÕâ¸öÃæÉϸÃÔõôʩ¼Ó¡£²»ÖªµÀ¸÷λǰ±²ÃÇÓÐʲô°ì·¨¡£±¾À´ÏëÓÃUDFµÄ°ì·¨Ìí¼Ó£¬µÚÒ»£¬UDFÀïûÓжÔwallÉÏÇóÌݶȵĺêÖ»ºÃ×÷°Õ£¬¶øÇÒÎÒ¾õµÃÕâ¸ö±ß½çÌõ¼þÖ÷Òª±í´ïµÄÒâ˼ÊÇwallºÍwall-shadowµÄͨÁ¿ÊÇÏàµÈµÄ£¬¿¿´Ë±ß½çÌõ¼þÀ´ÇóH¡£¾ÍËã·Ö±ð¶Ôwall,wall-shadowÊ©¼ÓÁËÏìÓ¦µÄͨÁ¿£¬Ò²²»ÄÜÁ½¸ö±ÚÃæÉϵÄͨÁ¿ÊÇÏàµÈ¡£×îºÃ£¬Ö»ÓÐÓÃcoupled£¬ÈÃfluent×Ô¼ºÇø´¦Àí¡£²»ÖªµÀ¸÷λǰ±²ÃÇ»¹ÓÐû±ðµÄ°ì·¨£¿

±ß½çÌõ¼þµÄÈ·¶¨
G{1$5LGQP][(XNWS0SQYE}V.png
»Ø¸´´ËÂ¥

» ²ÂÄãϲ»¶

ÒÑÔÄ   »Ø¸´´ËÂ¥   ¹Ø×¢TA ¸øTA·¢ÏûÏ¢ ËÍTAºì»¨ TAµÄ»ØÌû
Ïà¹Ø°æ¿éÌø×ª ÎÒÒª¶©ÔÄÂ¥Ö÷ yujia__ µÄÖ÷Ìâ¸üÐÂ
×î¾ßÈËÆøÈÈÌûÍÆ¼ö [²é¿´È«²¿] ×÷Õß »Ø/¿´ ×îºó·¢±í
[¿¼ÑÐ] Çóµ÷¼Á +5 Çà´º²ÃΪÈý½Ø 2026-03-29 5/250 2026-03-30 09:12 by Î޼ʵIJÝÔ­
[¿¼ÑÐ] Çóµ÷¼Á +6 ¼Ò¼Ñ¼Ñ¼Ñ¼Ñ¼Ñ 2026-03-29 6/300 2026-03-30 06:48 by zhyzzh
[¿¼ÑÐ] 311Çóµ÷¼Á +6 ¶¬Ê®Èý 2026-03-24 6/300 2026-03-29 20:45 by Î޼ʵIJÝÔ­
[¿¼ÑÐ] 085600 ²ÄÁÏÓ뻯¹¤ 329·ÖÇóµ÷¼Á +14 Mr. Z 2026-03-25 14/700 2026-03-29 17:27 by ѧԱ8dgXkO
[¿¼ÑÐ] 329Çóµ÷¼Á +10 Å¥¶÷Ñ© 2026-03-25 10/500 2026-03-29 13:32 by peike
[¿¼ÑÐ] Ò»Ö¾Ô¸Ö£ÖÝ´óѧ£¬080500ѧ˶£¬×Ü·Ö317·ÖÇóµ÷¼Á +8 ¾Ù¸öÀõ×Óoi 2026-03-24 9/450 2026-03-29 13:08 by peike
[¿¼ÑÐ] 349Çóµ÷¼Á +6 Àîľ×Ó°¡¹þ¹þ 2026-03-25 6/300 2026-03-29 12:47 by Î޼ʵIJÝÔ­
[¿¼ÑÐ] Çóµ÷¼ÁÒ»Ö¾Ô¸Î人Àí¹¤´óѧ²ÄÁϹ¤³Ì£¨085601£© +7 WW.' 2026-03-23 9/450 2026-03-29 12:42 by fmesaito
[¿¼ÑÐ] 343Çóµ÷¼Á +6 °®î¿°í 2026-03-29 6/300 2026-03-29 12:00 by Î޼ʵIJÝÔ­
[¿¼ÑÐ] 298Çóµ÷¼Á +4 ÖÖÊ¥´Í 2026-03-28 4/200 2026-03-29 08:42 by q1092522407
[¿¼ÑÐ] 315Çóµ÷¼Á +4 akie... 2026-03-28 5/250 2026-03-28 21:05 by zhq0425
[¿¼ÑÐ] 332Çóµ÷¼Á +4 @MZB382400 2026-03-28 4/200 2026-03-28 21:02 by ÌÆãå¶ù
[¿¼ÑÐ] ÉúÎïѧѧ˶£¬Ò»Ö¾Ô¸ºþÄÏ´óѧ£¬³õÊԳɼ¨338 +6 YYYYYNNNNN 2026-03-26 7/350 2026-03-28 20:52 by ÌÆãå¶ù
[¿¼ÑÐ] 0856£¬²ÄÁÏÓ뻯¹¤321·ÖÇóµ÷¼Á +12 ´ó²öС×Ó 2026-03-27 13/650 2026-03-28 10:56 by self2008
[¿¼ÑÐ] 330Ò»Ö¾Ô¸Öйúº£Ñó´óѧ »¯Ñ§¹¤³Ì 085602 ÓжÁ²©ÒâÔ¸ Çóµ÷¼Á +3 wywy.. 2026-03-27 4/200 2026-03-28 03:32 by fmesaito
[¿¼ÑÐ] Ò»Ö¾Ô¸»ª¶«Àí¹¤´óѧ081700£¬³õÊÔ·ÖÊý271 +6 kotoko_ik 2026-03-23 7/350 2026-03-27 12:29 by »ÝÖÝÅíÓÚêÌ
[¿¼ÑÐ] 333Çóµ÷¼Á +3 questionÍì·ç 2026-03-23 3/150 2026-03-27 11:29 by ²»³Ôô~µÄ؈
[¿¼ÑÐ] 292Çóµ÷¼Á +4 ÇóÇóÁËÊÕÏÂÎÒ°É£ 2026-03-26 4/200 2026-03-27 10:37 by zhshch
[¿¼ÑÐ] 327Çóµ÷¼Á +7 prayer13 2026-03-23 7/350 2026-03-26 20:48 by ²»³Ôô~µÄ؈
[¿¼ÑÐ] »úеѧ˶×Ü·Ö317Çóµ÷¼Á£¡£¡£¡£¡ +4 Acaciad 2026-03-25 4/200 2026-03-25 19:59 by hanserlol
ÐÅÏ¢Ìáʾ
ÇëÌî´¦ÀíÒâ¼û