| 查看: 1197 | 回复: 9 | |||
冷漠234新虫 (小有名气)
|
[求助]
无机题,求帮忙解答 已有2人参与
|
|
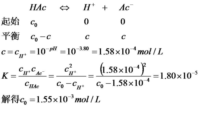
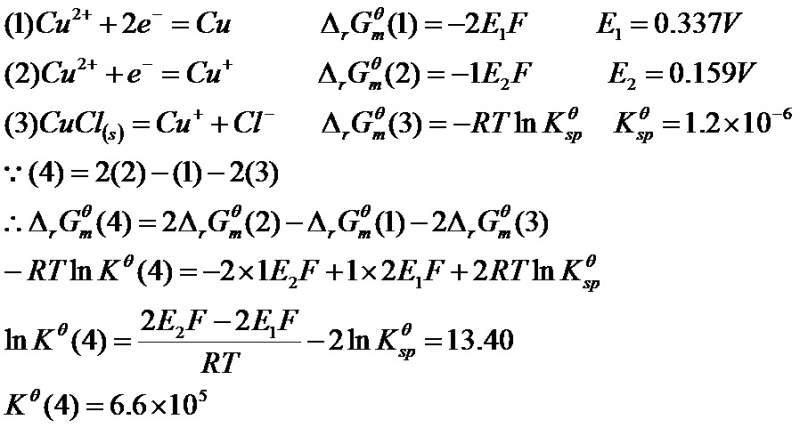
22题第二小问,24题 发自小木虫Android客户端 |
» 猜你喜欢
武汉纺织大学-材料科学与工程学院-姜伟杰青团队-招生物方向调剂
已经有0人回复
武汉纺织大学-材料科学与工程学院-招 生物方向 硕士!
已经有0人回复
有机高分子材料论文润色/翻译怎么收费?
已经有212人回复
武汉纺织大学-材料科学与工程学院-姜伟杰青团队-招生物方向调剂
已经有0人回复
[武汉纺织大学]材料学院[姜伟团队名称]课题组-2026年硕士研究生调剂信息
已经有0人回复
武汉纺织大学-材料科学与工程学院-姜伟杰青团队-招调剂
已经有0人回复
生物医学材料前沿科普:低密度、高孔隙率的“多孔微球”核心技术与应用全景
已经有1人回复
湖南工业大学周贵寅组招生物医学工程(学硕07、08都行)、生物与医药(专硕08)硕士生
已经有0人回复
湖南工业大学周贵寅组招生物医学工程(学硕07、08都行)和生物与医药(专硕08)硕士生
已经有0人回复
考研求调剂
已经有0人回复
2026年中南民族大学化学与材料科学学院调剂公告
已经有9人回复
» 本主题相关价值贴推荐,对您同样有帮助:
胶体方面的两个题求大神指教
已经有2人回复
无机化学考研习题求教
已经有2人回复
jiagle
专家顾问 (知名作家)
-

专家经验: +5165 - ICEPI: 166
- 应助: 5678 (副教授)
- 贵宾: 2.513
- 金币: 84732.4
- 散金: 10041
- 红花: 513
- 帖子: 8620
- 在线: 1197.9小时
- 虫号: 1960227
- 注册: 2012-08-28
- 性别: GG
- 专业: 无机材料化学
- 管辖: 无机/物化
2楼2015-11-09 18:29:18
谷中明
至尊木虫 (著名写手)
- ICEPI: 19
- 应助: 1264 (讲师)
- 贵宾: 0.482
- 金币: 24134.7
- 红花: 182
- 帖子: 2913
- 在线: 1911.3小时
- 虫号: 1883403
- 注册: 2012-07-08
- 性别: GG
- 专业: 热力学
3楼2015-11-09 18:52:01
冷漠234
新虫 (小有名气)
- 应助: 0 (幼儿园)
- 金币: 2157.1
- 散金: 44
- 帖子: 258
- 在线: 55.5小时
- 虫号: 3782194
- 注册: 2015-04-02
- 性别: MM
- 专业: 有机金属化学
4楼2015-11-09 19:03:41
冷漠234
新虫 (小有名气)
- 应助: 0 (幼儿园)
- 金币: 2157.1
- 散金: 44
- 帖子: 258
- 在线: 55.5小时
- 虫号: 3782194
- 注册: 2015-04-02
- 性别: MM
- 专业: 有机金属化学
5楼2015-11-09 19:14:23
谷中明
至尊木虫 (著名写手)
- ICEPI: 19
- 应助: 1264 (讲师)
- 贵宾: 0.482
- 金币: 24134.7
- 红花: 182
- 帖子: 2913
- 在线: 1911.3小时
- 虫号: 1883403
- 注册: 2012-07-08
- 性别: GG
- 专业: 热力学
6楼2015-11-09 19:21:32
冷漠234
新虫 (小有名气)
- 应助: 0 (幼儿园)
- 金币: 2157.1
- 散金: 44
- 帖子: 258
- 在线: 55.5小时
- 虫号: 3782194
- 注册: 2015-04-02
- 性别: MM
- 专业: 有机金属化学
7楼2015-11-09 19:24:51
谷中明
至尊木虫 (著名写手)
- ICEPI: 19
- 应助: 1264 (讲师)
- 贵宾: 0.482
- 金币: 24134.7
- 红花: 182
- 帖子: 2913
- 在线: 1911.3小时
- 虫号: 1883403
- 注册: 2012-07-08
- 性别: GG
- 专业: 热力学
8楼2015-11-09 20:42:54
冷漠234
新虫 (小有名气)
- 应助: 0 (幼儿园)
- 金币: 2157.1
- 散金: 44
- 帖子: 258
- 在线: 55.5小时
- 虫号: 3782194
- 注册: 2015-04-02
- 性别: MM
- 专业: 有机金属化学
9楼2015-12-19 22:19:29
冷漠234
新虫 (小有名气)
- 应助: 0 (幼儿园)
- 金币: 2157.1
- 散金: 44
- 帖子: 258
- 在线: 55.5小时
- 虫号: 3782194
- 注册: 2015-04-02
- 性别: MM
- 专业: 有机金属化学
10楼2015-12-22 16:02:22














回复此楼