| 查看: 605 | 回复: 2 | ||
雪枫0108铜虫 (初入文坛)
|
[求助]
求大神帮忙看看这个UDF程序怎么编 已有1人参与
|
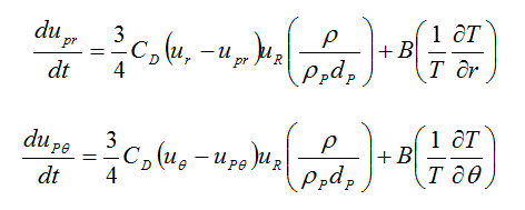
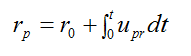
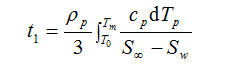
如图所示,在FLUENT的二次开发UDF中,积分如何编程,就像图片里面的是从0到T的,怎么编程,还有第三个图里面upr对t求导以及T对r求导这个怎么编程,求大神啊!就差这一点了,其他的都搞定了!![]() 222.png 333.png 1111.png |
» 猜你喜欢
309求调剂
已经有8人回复
一志愿南航 335分 | 0856 | GPA 4.07 | 有科研经历
已经有8人回复
求调剂
已经有5人回复
求化学调剂
已经有5人回复
085600,材料与化工321分求调剂
已经有10人回复
0703 化学 求调剂,一志愿山东大学 342 分
已经有5人回复
一志愿南开大学0710生物学359求调剂
已经有3人回复
085600,专业课化工原理,320分求调剂
已经有4人回复
材料与化工272求调剂
已经有16人回复
290求调剂
已经有3人回复
2楼2019-05-23 20:15:04
3楼2019-05-30 16:12:50















回复此楼