| 查看: 1484 | 回复: 14 | ||
wu1309122143至尊木虫 (知名作家)
|
[求助]
(考研学子)电动势问题的几个疑问,求教谢谢 已有1人参与
|
|
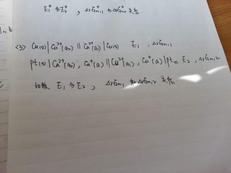
这个12题,我认为没有答案,解释一下 这3个类型的题,方法是什么,最好给出分析思路和解答步骤 物化老师和达人谢谢 O8KJYFX[_@5Q$GNV_)0)V}J.jpg DC2567C2D015C9BD737B005D20FE7197.jpg 0FCFB8DE4E1F60846CD3DBF9E4D3DAD3.jpg |
» 猜你喜欢
武汉纺织大学-材料科学与工程学院-姜伟杰青团队-招生物方向调剂
已经有0人回复
武汉纺织大学-材料科学与工程学院-招 生物方向 硕士!
已经有0人回复
有机高分子材料论文润色/翻译怎么收费?
已经有115人回复
武汉纺织大学-材料科学与工程学院-姜伟杰青团队-招生物方向调剂
已经有0人回复
[武汉纺织大学]材料学院[姜伟团队名称]课题组-2026年硕士研究生调剂信息
已经有0人回复
武汉纺织大学-材料科学与工程学院-姜伟杰青团队-招调剂
已经有0人回复
生物医学材料前沿科普:低密度、高孔隙率的“多孔微球”核心技术与应用全景
已经有1人回复
湖南工业大学周贵寅课题组招生物医学工程(07、08都行)和生物与医药(0860)硕士生
已经有0人回复
湖南工业大学周贵寅课题组招生物医学工程(07、08都行)和生物与医药(0860)硕士生
已经有0人回复
考研求调剂
已经有0人回复
2026年中南民族大学化学与材料科学学院调剂公告
已经有2人回复
» 本主题相关商家推荐: (我也要在这里推广)
» 本主题相关价值贴推荐,对您同样有帮助:
江南大学分析化学考研
已经有34人回复

wu1309122143
至尊木虫 (知名作家)
- 应助: 138 (高中生)
- 金币: 12140.8
- 散金: 406
- 红花: 31
- 帖子: 5201
- 在线: 444.2小时
- 虫号: 3818874
- 注册: 2015-04-15
- 性别: GG
- 专业: 有机分子功能材料化学

2楼2015-11-09 12:40:55
wu1309122143
至尊木虫 (知名作家)
- 应助: 138 (高中生)
- 金币: 12140.8
- 散金: 406
- 红花: 31
- 帖子: 5201
- 在线: 444.2小时
- 虫号: 3818874
- 注册: 2015-04-15
- 性别: GG
- 专业: 有机分子功能材料化学

3楼2015-11-09 12:41:34
谷中明
至尊木虫 (著名写手)
- ICEPI: 19
- 应助: 1264 (讲师)
- 贵宾: 0.482
- 金币: 24134.7
- 红花: 182
- 帖子: 2913
- 在线: 1911.3小时
- 虫号: 1883403
- 注册: 2012-07-08
- 性别: GG
- 专业: 热力学
【答案】应助回帖
★
感谢参与,应助指数 +1
冰点降温: 金币+1, 谢谢回帖,解答的很清楚,辛苦了! 2015-11-09 15:56:01
感谢参与,应助指数 +1
冰点降温: 金币+1, 谢谢回帖,解答的很清楚,辛苦了! 2015-11-09 15:56:01
|
12、选D。∑vμ=ΔrGm<0 , 1、两者均为燃料电池 2H2 + O2=2H2O 与介质无关 E1=E2, ΔrGm(1)=ΔrGm(2) 2、第一个电池反应为 Cu2+ +Cu=2Cu+ 转移电子数=1 第二个电池反应 Cu2+ +Cu=2Cu+ 转移电子数=2 因为反应净结果相同 E1=E2 2 ΔrGm(1)=ΔrGm(2) 3、第一个电池反应为 Cu2+(a1)=Cu2+(a2) 转移电子数=2 第二个电池反应为 Cu2+(a1)=Cu2+(a2) 转移电子数=1 因为反应净结果相同 E1=E2 ΔrGm(1)=2ΔrGm(2) |
4楼2015-11-09 15:47:38
wu1309122143
至尊木虫 (知名作家)
- 应助: 138 (高中生)
- 金币: 12140.8
- 散金: 406
- 红花: 31
- 帖子: 5201
- 在线: 444.2小时
- 虫号: 3818874
- 注册: 2015-04-15
- 性别: GG
- 专业: 有机分子功能材料化学

5楼2015-11-09 19:48:18
wu1309122143
至尊木虫 (知名作家)
- 应助: 138 (高中生)
- 金币: 12140.8
- 散金: 406
- 红花: 31
- 帖子: 5201
- 在线: 444.2小时
- 虫号: 3818874
- 注册: 2015-04-15
- 性别: GG
- 专业: 有机分子功能材料化学

6楼2015-11-09 19:48:30
谷中明
至尊木虫 (著名写手)
- ICEPI: 19
- 应助: 1264 (讲师)
- 贵宾: 0.482
- 金币: 24134.7
- 红花: 182
- 帖子: 2913
- 在线: 1911.3小时
- 虫号: 1883403
- 注册: 2012-07-08
- 性别: GG
- 专业: 热力学
7楼2015-11-09 19:50:45
wu1309122143
至尊木虫 (知名作家)
- 应助: 138 (高中生)
- 金币: 12140.8
- 散金: 406
- 红花: 31
- 帖子: 5201
- 在线: 444.2小时
- 虫号: 3818874
- 注册: 2015-04-15
- 性别: GG
- 专业: 有机分子功能材料化学

8楼2015-11-09 19:52:02
谷中明
至尊木虫 (著名写手)
- ICEPI: 19
- 应助: 1264 (讲师)
- 贵宾: 0.482
- 金币: 24134.7
- 红花: 182
- 帖子: 2913
- 在线: 1911.3小时
- 虫号: 1883403
- 注册: 2012-07-08
- 性别: GG
- 专业: 热力学
【答案】应助回帖
★ ★ ★ ★ ★
wu1309122143: 金币+5, ★★★★★最佳答案 2015-11-09 23:08:51
wu1309122143: 金币+5, ★★★★★最佳答案 2015-11-09 23:08:51
|
写反了:更正:因为状态函数与途经无关。 1、两者均为燃料电池 2H2 + O2=2H2O 与介质无关 E1=E2, ΔrGm(1)=ΔrGm(2) 2、第一个电池反应为 Cu2+ +Cu=2Cu+ 转移电子数=1 第二个电池反应 Cu2+ +Cu=2Cu+ 转移电子数=2 因为反应净结果相同 E1=2E2 ΔrGm(1)=ΔrGm(2) 3、第一个电池反应为 Cu2+(a1)=Cu2+(a2) 转移电子数=2 第二个电池反应为 Cu2+(a1)=Cu2+(a2) 转移电子数=1 因为反应净结果相同 2E1=E2 ΔrGm(1)=ΔrGm(2) |
9楼2015-11-09 19:55:22
wu1309122143
至尊木虫 (知名作家)
- 应助: 138 (高中生)
- 金币: 12140.8
- 散金: 406
- 红花: 31
- 帖子: 5201
- 在线: 444.2小时
- 虫号: 3818874
- 注册: 2015-04-15
- 性别: GG
- 专业: 有机分子功能材料化学

10楼2015-11-09 19:59:53














回复此楼
10