| ²é¿´: 1642 | »Ø¸´: 1 | |
chenxin905гæ (³õÈëÎÄ̳)
|
[ÇóÖú]
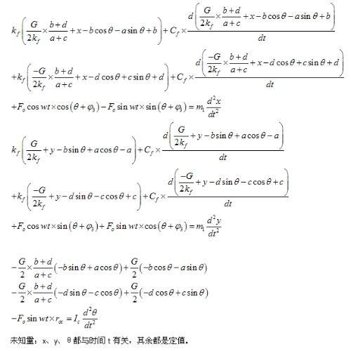
Çó´óÉñ½âÈýÔª¶þ½×΢·Ö·½³Ì×飬¼±£¡
|
|
|
|
ÅÖÅÖСèßäľ³æ (ÕýʽдÊÖ)
|
|
|
2Â¥2015-11-08 08:06:41
|
|













»Ø¸´´ËÂ¥
10