| 查看: 1048 | 回复: 5 | ||
[求助]
向大神求教一个用matlab拟合动力学参数的问题,求指导 已有3人参与
|
|
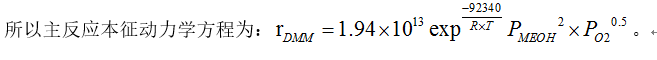
想知道一般反应的指前因子的数量级是多少?我用matlab软件拟合出来的主反应的指前因子比较大,有10的13次方,而有的副反应拟合出来,指前因子K0的数量级竟然有26次方,我感觉计算的程序没错,可值怎么就这么大呢?小弟求教!!!(PS: E$CGJVBEE7]J(YQZ5[0QBT6.png |
» 猜你喜欢
313求调剂
已经有3人回复
310求调剂
已经有12人回复
290求调剂
已经有7人回复
电气专硕320求调剂
已经有5人回复
一志愿西北工业大学289 085602
已经有33人回复
一志愿哈工大 085600 277 12材科基求调剂
已经有24人回复
268分085602化学工程调剂
已经有28人回复
化学工程调剂289
已经有50人回复
求调剂,262机械专硕
已经有8人回复
305求调剂
已经有6人回复

2楼2015-11-08 08:19:13

3楼2015-11-14 10:54:46
独孤神宇
版主 (知名作家)
- 应助: 490 (硕士)
- 贵宾: 0.008
- 金币: 31016.3
- 散金: 802
- 红花: 122
- 沙发: 1
- 帖子: 5600
- 在线: 856.5小时
- 虫号: 3522474
- 注册: 2014-11-06
- 性别: GG
- 专业: 机械动力学
- 管辖: 计算模拟

4楼2015-11-14 12:50:51
|
这个不确定的,我见过乙醇脱水的一个动力学,幂数为负的20次幂。只要最后动力学和实验结果吻合的比较好就没有什么太大的问题。最好多做几次实验,确保数据点足够多,减少误差。 发自小木虫IOS客户端 |
5楼2015-11-14 16:59:16
【答案】应助回帖
|
没有单位谈数量极是没有意义的,所以你的反应速率是以什么为基准的很重要,反应速率涉及的单位类似于: kmol/m3/s,这是以体积和摩尔为基准的,如果是催化反应,可能是 kmol/kg(catalyst)/s,这里的物质的量的单位,体积,催化剂质量,和时间,都有很多表示方式,你把m换成cm这里就差了10^6,你把秒换成小时,差了3600,所以问题是你的单位是什么,从你的方程来看,你的k应该也是含有压力单位的,所以你需要确定你在模拟的时候用的单位始终是一致的,然后最后看看结果,至于一般是什么数量极,你需要查阅文献,去专门看你这个反应的动力学方程,然后作对比。另外就是对于化学反应根本没有一般的数量极的概念,只有对于同一种反应体系,才有比较数量极的意义。 |
6楼2015-11-16 08:24:33













回复此楼