| 查看: 466 | 回复: 0 | ||
[求助]
给我大神求教一个用matlab拟合动力学参数的问题,求指导
|
|
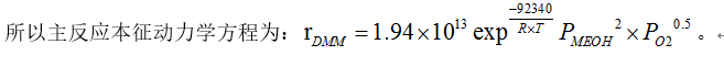
想知道一般反应的指前因子的数量级是多少?我用matlab软件拟合出来的主反应的指前因子比较大,有10的13次方,而有的副反应拟合出来,指前因子K0的数量级竟然有26次方,我感觉计算的程序没错,可值怎么就这么大呢?小弟求教!!!(PS: E$CGJVBEE7]J(YQZ5[0QBT6.png |
» 猜你喜欢
[武汉纺织大学]材料学院[姜伟团队名称]课题组-2026年硕士研究生调剂信息
已经有0人回复
武汉纺织大学-材料科学与工程学院-姜伟杰青团队-招调剂
已经有0人回复
有机高分子材料论文润色/翻译怎么收费?
已经有255人回复
生物医学材料前沿科普:低密度、高孔隙率的“多孔微球”核心技术与应用全景
已经有1人回复
湖南工业大学周贵寅组招生物医学工程(学硕07、08都行)、生物与医药(专硕08)硕士生
已经有0人回复
湖南工业大学周贵寅组招生物医学工程(学硕07、08都行)和生物与医药(专硕08)硕士生
已经有0人回复
考研求调剂
已经有0人回复
2026年中南民族大学化学与材料科学学院调剂公告
已经有40人回复
武汉纺织大学招生物材料、化学、高分子相关专业硕士生
已经有0人回复
武汉纺织大学招生物材料、化学、高分子相关专业硕士生-另有少量士兵计划可咨询
已经有0人回复
[武汉纺织大学]材料学院[姜伟团队名称]课题组-2026年硕士研究生调剂信息
已经有0人回复














回复此楼