| 查看: 1574 | 回复: 10 | ||
[交流]
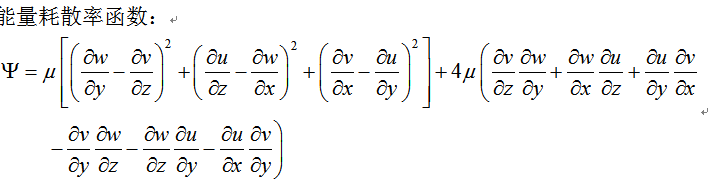
讨论一下涡度拟能(能量耗散率函数),是涡量造成的能量损失所对应的功率吗?
|
||
» 抢金币啦!回帖就可以得到:
物理学0702 调剂
+1/88
长江大学化工学院少量学硕、专硕最后一批调剂(理学、工学均可,线上面试)
+1/84
化学、化学工程、生物与医药,微生物学、生物化学与分子生物学专业调剂
+1/38
上海海事大学博导招26级全日制管理学博士
+1/37
五邑大学环境与化学工程学院第三批调剂
+1/35
致中山白雪:于法理与人间,赴一场双向奔赴
+1/30
佛山大学动物科技学院2026年硕士研究生招生调剂公告(第三批)
+1/21
河南科技学院——复试调剂—线上复试
+1/18
如何提升氯化钾的产品价值,请各位大佬指教!!!
+2/16
西湖大学工学院王雅婕实验室科研助理(蛋白质工程)招聘启事(急招)
+1/13
湖南理工大学化学化工学院的化学和化学工程与技术专业调剂
+1/10
稀土发光分析|核壳结构|寿命拟合
+1/10
重庆三峡科技大学物理电子学专业接收调剂,考数二可调,系统开至4月10日,正在报名
+1/9
二次调剂名额13名,华北理工大学矿物加工工程方向接收调剂研究生
+1/7
研究助理招聘 | 中山大学光电材料与技术全国重点实验室--集成信息光电子研究团队
+1/7
基金祈福
+1/6
贵州师大山地实验室学硕调剂名额,急需调剂
+1/3
人工智能与计算化学交叉研究方向 接受调剂
+1/2
祈福
+1/1
多色流式Panel如何实现精准免疫分型?
+1/1
简单回复
核桃芝麻2楼
2015-11-06 21:55
回复
zhoubing34(金币+1): 谢谢参与
2015-11-06 21:56
回复
zhoubing34(金币+1): 谢谢参与
dmbb4楼
2015-11-06 21:58
回复
zhoubing34(金币+1): 谢谢参与
随堂测验青青5楼
2015-11-06 22:02
回复
zhoubing34(金币+1): 谢谢参与
liangbk6楼
2015-11-06 22:06
回复
zhoubing34(金币+1): 谢谢参与
yuzhuce7楼
2015-11-06 22:06
回复
zhoubing34(金币+1): 谢谢参与
shibiema8楼
2015-11-06 22:14
回复
zhoubing34(金币+1): 谢谢参与
2015-11-06 22:17
回复
zhoubing34(金币+1): 谢谢参与
假大空10楼
2015-11-06 22:22
回复
zhoubing34(金币+1): 谢谢参与
fdzjm11楼
2015-11-06 22:23
回复
zhoubing34(金币+1): 谢谢参与













回复此楼