版块导航
正在加载中...
客户端APP下载
论文辅导
申博辅导
登录
注册
帖子
帖子
用户
本版
应《网络安全法》要求,自2017年10月1日起,未进行实名认证将不得使用互联网跟帖服务。为保障您的帐号能够正常使用,请尽快对帐号进行手机号验证,感谢您的理解与支持!
24小时热门版块排行榜
>
论坛更新日志
(1321)
>
虫友互识
(52)
>
找工作
(17)
>
导师招生
(14)
>
论文道贺祈福
(14)
>
文献求助
(10)
>
硕博家园
(8)
>
考博
(8)
>
博后之家
(5)
>
休闲灌水
(5)
>
基金申请
(4)
>
考研
(4)
>
论文投稿
(4)
>
教师之家
(3)
>
公派出国
(3)
>
外文书籍求助
(2)
小木虫论坛-学术科研互动平台
»
化学化工区
»
无机/物化
»
物理化学
»
这道电化学选择题
6
1/1
返回列表
查看: 680 | 回复: 5
只看楼主
@他人
存档
新回复提醒
(忽略)
收藏
在APP中查看
墨尔本夜
金虫
(著名写手)
应助: 11
(小学生)
金币: 2610.9
散金: 415
红花: 7
帖子: 1127
在线: 271.9小时
虫号: 3660072
注册: 2015-01-23
专业: 无机纳米化学
[
求助
]
这道电化学选择题
已有1人参与
算了几遍都不对。麻烦大家看看。第九题
发自小木虫Android客户端
回复此楼
» 猜你喜欢
二苯甲酮亚胺的合成
已经有1人回复
聚左旋乳酸的作用与机制:从胶原再生到组织修复
已经有0人回复
有机高分子材料论文润色/翻译怎么收费?
已经有200人回复
可生物降解聚酯聚己内酯的性能分析与发展趋势
已经有0人回复
带膜支架的膜和支架之间的结合力如何测试
已经有2人回复
西交利物浦大学奖学金博士招生(生物传感或机器学习方向)
已经有1人回复
南方科技大学招收金属材料方向博士生
已经有23人回复
可降解聚酯材料在医疗器械中的应用趋势与创新方向
已经有0人回复
可降解微球如何提升药物精准治疗效果
已经有0人回复
静电纺丝膜分层问题
已经有0人回复
什么脱膜剂可以完全清洗干净啊?
已经有2人回复
» 本主题相关价值贴推荐,对您同样有帮助:
注册化学工程师考试简单介绍
已经有68人回复
注册化工工程师须知
已经有23人回复
想搭建一套测试催化性能的电化学测试设备,不知道具体需要些什么,请各位大神帮帮忙
已经有2人回复
山东高考化学研究
已经有4人回复
2013中科院过程所物化真题回忆版
已经有4人回复
分析化学下册答案
已经有39人回复
中科院系统《物理化学》(甲)考研复习经验——转自某大师级好友的人人网
已经有67人回复
刚考完,趁还有印象,把北大化学的专业课给来年要考的学弟说说吧
已经有19人回复
同济大学2012年真题回忆
已经有43人回复
【分享】tj2010 环境工程真题(回忆版)转
已经有2人回复
1楼
2015-11-06 14:10:58
已阅
回复此楼
关注TA
给TA发消息
送TA红花
TA的回帖
墨尔本夜
金虫
(著名写手)
2楼
2015-11-06 16:56:23
已阅
回复此楼
关注TA
给TA发消息
送TA红花
TA的回帖
谷中明
至尊木虫
(著名写手)
ICEPI: 19
应助: 1264
(讲师)
贵宾: 0.482
金币: 24134.7
红花: 182
帖子: 2913
在线: 1911.3小时
虫号: 1883403
注册: 2012-07-08
性别: GG
专业: 热力学
【答案】应助回帖
★ ★ ★ ★ ★
感谢参与,应助指数 +1
墨尔本夜: 金币+5,
★★★
很有帮助, 没有这个选项怎么办?题目错了么⊙▽⊙
2015-11-06 17:31:27
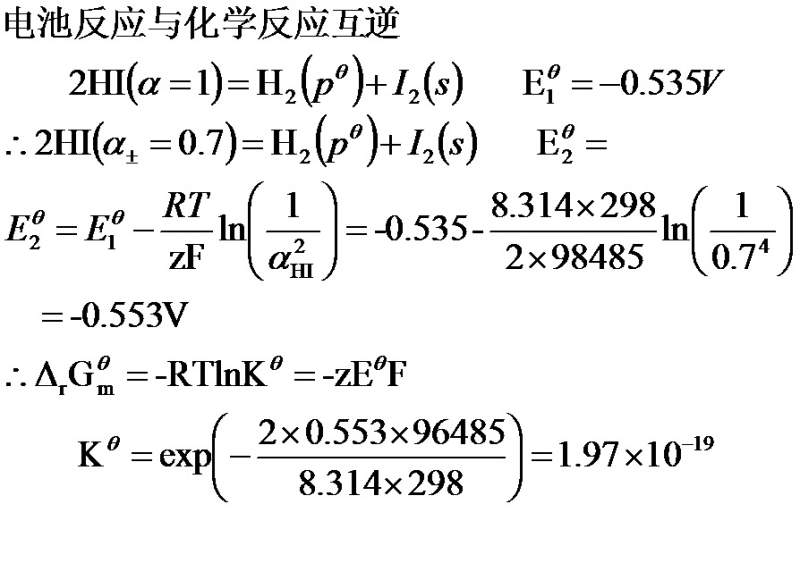
详细解答见附图。
习题13.jpg
赞
一下
回复此楼
3楼
2015-11-06 17:16:26
已阅
回复此楼
关注TA
给TA发消息
送TA红花
TA的回帖
墨尔本夜
金虫
(著名写手)
应助: 11
(小学生)
金币: 2610.9
散金: 415
红花: 7
帖子: 1127
在线: 271.9小时
虫号: 3660072
注册: 2015-01-23
专业: 无机纳米化学
引用回帖:
3楼
:
Originally posted by
谷中明
at 2015-11-06 17:16:26
详细解答见附图。
习题13.jpg
嗯!我算出来和您一样!但没有这个选项怎么办~zZ
发自小木虫Android客户端
赞
一下
回复此楼
4楼
2015-11-06 17:30:12
已阅
回复此楼
关注TA
给TA发消息
送TA红花
TA的回帖
谷中明
至尊木虫
(著名写手)
ICEPI: 19
应助: 1264
(讲师)
贵宾: 0.482
金币: 24134.7
红花: 182
帖子: 2913
在线: 1911.3小时
虫号: 1883403
注册: 2012-07-08
性别: GG
专业: 热力学
引用回帖:
4楼
:
Originally posted by
墨尔本夜
at 2015-11-06 17:30:12
嗯!我算出来和您一样!但没有这个选项怎么办~zZ
...
可能把1打成7了,常有的事。只要处理过程正确就好。
赞
一下
回复此楼
5楼
2015-11-06 17:33:08
已阅
回复此楼
关注TA
给TA发消息
送TA红花
TA的回帖
墨尔本夜
金虫
(著名写手)
应助: 11
(小学生)
金币: 2610.9
散金: 415
红花: 7
帖子: 1127
在线: 271.9小时
虫号: 3660072
注册: 2015-01-23
专业: 无机纳米化学
引用回帖:
5楼
:
Originally posted by
谷中明
at 2015-11-06 17:33:08
可能把1打成7了,常有的事。只要处理过程正确就好。...
嗯!非常感谢~
发自小木虫Android客户端
回复此楼
6楼
2015-11-06 17:35:14
已阅
回复此楼
关注TA
给TA发消息
送TA红花
TA的回帖
相关版块跳转
有机交流
有机资源
高分子
无机/物化
分析
催化
工艺技术
化工设备
石油化工
精细化工
电化学
环境
SciFinder/Reaxys
我要订阅楼主
墨尔本夜
的主题更新
6
1/1
返回列表
如果回帖内容含有宣传信息,请如实选中。否则帐号将被全论坛禁言
普通表情
龙
兔
虎
猫
百度网盘
|
360云盘
|
千易网盘
|
华为网盘
在新窗口页面中打开自己喜欢的网盘网站,将文件上传后,然后将下载链接复制到帖子内容中就可以了。
信息提示
关闭
请填处理意见
关闭
确定