| 查看: 668 | 回复: 3 | |
yonggepy金虫 (正式写手)
|
[求助]
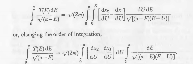
求问这个二重积分
|
![]() |
|
|
|
|
|
2楼2015-11-05 22:14:27
|
|
yonggepy金虫 (正式写手)
|
|
![]() |
|
|
3楼2015-11-06 18:47:51
|
|
|
4楼2015-11-06 20:58:58
|
|













回复此楼