| 查看: 940 | 回复: 2 | ||
[求助]
动态再结晶模型 已有2人参与
|
|
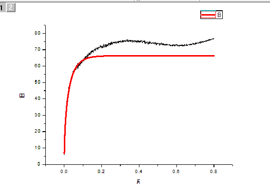
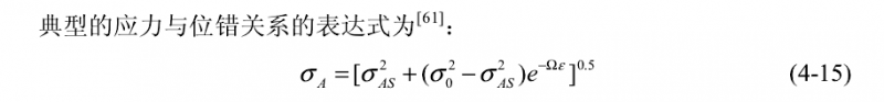
有没有知道第一张图中的σ0值是多少的,还有就是我按照σ0=0时模拟出来的图形见第二张图,和别人的完全不知道,求大神帮忙。急急急 6I)S1WM5]_TA12OM_WBD6IF.png WQWA40[ZGKB$~CJ$YZ%9IBW.png |
» 猜你喜欢
材料求调剂 一志愿哈工大总分298分,前三科223分
已经有5人回复
085600 286分 材料求调剂
已经有6人回复
086502化学工程342求调剂
已经有4人回复
材料求调剂一志愿哈工大324
已经有7人回复
328求调剂
已经有7人回复
340求调剂
已经有5人回复
一志愿南昌大学324求调剂
已经有4人回复
求调剂推荐 材料 304
已经有15人回复
291求调剂
已经有19人回复
331环境科学与工程求调剂
已经有3人回复

2楼2016-04-20 12:02:23
3楼2016-05-03 13:40:33














回复此楼
