| 查看: 404 | 回复: 2 | ||
chenpeng1991木虫 (正式写手)
小有名气
|
[求助]
物化问题已有1人参与
|
|
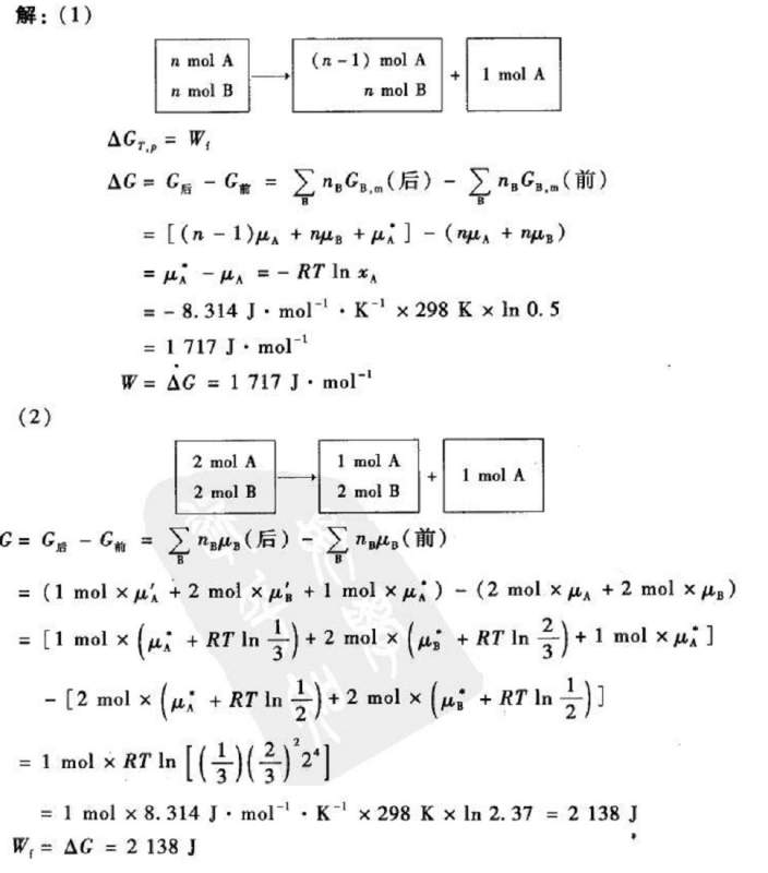
大神帮忙看看,求思路。 发自小木虫Android客户端 |
» 猜你喜欢
二苯甲酮亚胺的合成
已经有1人回复
聚左旋乳酸的作用与机制:从胶原再生到组织修复
已经有0人回复
有机高分子材料论文润色/翻译怎么收费?
已经有181人回复
可生物降解聚酯聚己内酯的性能分析与发展趋势
已经有0人回复
带膜支架的膜和支架之间的结合力如何测试
已经有2人回复
西交利物浦大学奖学金博士招生(生物传感或机器学习方向)
已经有1人回复
南方科技大学招收金属材料方向博士生
已经有23人回复
可降解聚酯材料在医疗器械中的应用趋势与创新方向
已经有0人回复
可降解微球如何提升药物精准治疗效果
已经有0人回复
静电纺丝膜分层问题
已经有0人回复
什么脱膜剂可以完全清洗干净啊?
已经有2人回复

谷中明
至尊木虫 (著名写手)
- ICEPI: 19
- 应助: 1264 (讲师)
- 贵宾: 0.482
- 金币: 24134.7
- 红花: 182
- 帖子: 2913
- 在线: 1911.3小时
- 虫号: 1883403
- 注册: 2012-07-08
- 性别: GG
- 专业: 热力学
2楼2015-11-02 18:07:08
chenpeng1991
木虫 (正式写手)
小有名气
- 应助: 4 (幼儿园)
- 金币: 5593.4
- 散金: 70
- 红花: 2
- 帖子: 629
- 在线: 103.8小时
- 虫号: 2492038
- 注册: 2013-06-01
- 专业: 人工晶体

3楼2015-11-02 18:48:56













回复此楼