| 查看: 492 | 回复: 3 | ||
[求助]
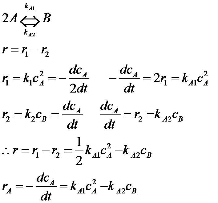
用质量作用定律得到下面哪个反应速率 已有1人参与
|
|
ka1:A→B ka2:B→A 发自小木虫Android客户端 |
» 猜你喜欢
什么脱膜剂可以完全清洗干净啊?
已经有2人回复
暨南大学化学与材料学院赵宇亮院士正在招博士和博后,方向为生物材料和纳米医学
已经有1人回复
有机高分子材料论文润色/翻译怎么收费?
已经有259人回复
可生物降解聚酯正在重塑现代医疗器械
已经有0人回复
26届博士申请
已经有2人回复
PLLA 微球在生物医学领域的研究与应用
已经有1人回复
PLLA 微球的材料特性与制备工艺解析
已经有0人回复
医用聚己内酯(PCL)全解析:从两段式降解到组织工程应用
已经有0人回复
反相硅胶如何再生?
已经有1人回复
谷中明
至尊木虫 (著名写手)
- ICEPI: 19
- 应助: 1264 (讲师)
- 贵宾: 0.482
- 金币: 24134.7
- 红花: 182
- 帖子: 2913
- 在线: 1911.3小时
- 虫号: 1883403
- 注册: 2012-07-08
- 性别: GG
- 专业: 热力学
2楼2015-11-01 21:21:37
谷中明
至尊木虫 (著名写手)
- ICEPI: 19
- 应助: 1264 (讲师)
- 贵宾: 0.482
- 金币: 24134.7
- 红花: 182
- 帖子: 2913
- 在线: 1911.3小时
- 虫号: 1883403
- 注册: 2012-07-08
- 性别: GG
- 专业: 热力学
3楼2015-11-01 21:37:52
梦想家peter
金虫 (小有名气)
- 应助: 0 (幼儿园)
- 金币: 4258.9
- 散金: 20
- 帖子: 172
- 在线: 65小时
- 虫号: 3823424
- 注册: 2015-04-21
- 专业: 无机纳米化学
4楼2015-11-02 07:27:27













回复此楼