±±¾©Ê¯ÓÍ»¯¹¤Ñ§Ôº2026ÄêÑо¿ÉúÕÐÉú½ÓÊÕµ÷¼Á¹«¸æ
²é¿´: 490  |  »Ø¸´: 0

ÈÕĺÀï

½ð³æ (СÓÐÃûÆø)

[ÇóÖú] ¶þ½×StarkЧӦ¹«Ê½ÖйØÓÚÁ¿×ÓÊýµÄÎÊÌâ

RT¡£Ð¡µÜÎïÀíС°×£¬×î½ü½Ó´¥ÁËЩÁ¿×ÓÁ¦Ñ§Ïà¹ØµÄÀíÂÛÓиöÎÊÌâûÓÐŪÃ÷°×£¬Âé·³´óÉñ½â´ð¡£
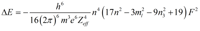
ÈçͼƬÖй«Ê½Ëùʾ£¬¹«Ê½ÊÇÃèÊö¶þ½×Ê·Ëþ¿ËЧӦµÄÄÜÁ¿Óëµç³¡Ö®¼äµÄ¹ØÏµµÄ¹«Ê½£¬Ê½ÖУ¬mlÊÇ´ÅÁ¿×ÓÊý£¬hÊÇÆÕÀʿ˳£Êý£»eÊÇÒ»¸öµç×ÓµçÁ¿£»ZeffÊÇÔ­×ÓµÄÓÐЧµçºÉÊý£»nÊÇÖ÷Á¿×ÓÊý¡£²¢ÇÒml=n2-n1£¬n=n2+n1+n3+1£¬Ð¡µÜ²»Ã÷°×n2¡¢n1ºÍn3·Ö±ð´ú±íʲôÁ¿×ÓÊý£¬ÆäÎïÀíÒâÒåÊÇʲô£¬ÔÚ·­ÔÄÒ»¸ö×ÊÁÏÖУ¬ÉÏÃæ³Æn2¡¢n1ºÍn3Ϊ¡°parabolic quantum numbers¡±£¬µ«ÊÇûÓиø³ö¾ßÌå½âÊÍ£¬Çó´óÉñ°ïæ½â´ð£¡Ð»Ð»£¡

¶þ½×StarkЧӦ¹«Ê½ÖйØÓÚÁ¿×ÓÊýµÄÎÊÌâ
²¶»ñ.PNG
»Ø¸´´ËÂ¥

» ²ÂÄãϲ»¶

ÒÑÔÄ   »Ø¸´´ËÂ¥   ¹Ø×¢TA ¸øTA·¢ÏûÏ¢ ËÍTAºì»¨ TAµÄ»ØÌû
Ïà¹Ø°æ¿éÌø×ª ÎÒÒª¶©ÔÄÂ¥Ö÷ ÈÕĺÀï µÄÖ÷Ìâ¸üÐÂ
×î¾ßÈËÆøÈÈÌûÍÆ¼ö [²é¿´È«²¿] ×÷Õß »Ø/¿´ ×îºó·¢±í
[¿¼ÑÐ] Ò»Ö¾Ô¸211ԺУ 344·Ö ¶«±±Å©Òµ´óѧÉúÎïѧѧ˶£¬Çóµ÷¼Á +5 ؼ·çѩҹ¹éÈËØ¼ 2026-03-26 8/400 2026-03-27 19:22 by ؼ·çѩҹ¹éÈËØ¼
[¿¼ÑÐ] 266Çóµ÷¼Á +11 ÑôÑôÍÛÈû 2026-03-27 12/600 2026-03-27 17:56 by yu221
[¿¼ÑÐ] Ò»Ö¾Ô¸±±»¯085600²ÄÁÏר˶275|ÓÐÎÄÕÂרÀû£üÇóµ÷¼Á +3 Micky11223 2026-03-25 3/150 2026-03-27 14:52 by ×íÔÚ·çÀï
[¿¼ÑÐ] 339Çóµ÷¼Á +4 ¿¾ÂóÑ¿ 2026-03-27 5/250 2026-03-27 13:23 by 752105528
[¿¼ÑÐ] ²ÄÁÏÇóµ÷¼Á +5 .m.. 2026-03-25 5/250 2026-03-27 11:08 by ²»³Ôô~µÄ؈
[˶²©¼ÒÔ°] ±±¾©ÁÖÒµ´óѧ˶µ¼ÕÐÉú¹ã¸æ +6 kongweilin 2026-03-26 8/400 2026-03-27 10:18 by FF_16
[¿¼ÑÐ] 359Çóµ÷¼Á +4 ÍõÁ˸öéª 2026-03-25 4/200 2026-03-27 08:43 by ²»³Ôô~µÄ؈
[¿¼ÑÐ] 081700 µ÷¼Á 267·Ö +11 ÃÔÈ˵Ĺþ¹þ 2026-03-23 11/550 2026-03-26 15:41 by zzll406
[¿¼ÑÐ] 291 Çóµ÷¼Á +7 »¯¹¤2026½ì±ÏÒµÉ 2026-03-21 8/400 2026-03-26 11:25 by AlenQIN.
[¿¼ÑÐ] ´ò¹ýºÜ¶à¾ºÈü£¬085406¿ØÖƹ¤³Ì300·Ö£¬Çóµ÷¼Á +3 askeladz 2026-03-26 3/150 2026-03-26 09:08 by ¸øÄãÄã×¢ÒâÐÝÏ¢
[¿¼ÑÐ] ²ÄÁÏר˶ 335 ·ÖÇóµ÷¼Á +4 ¾Ü¾øÀ䱩Á¦ 2026-03-25 4/200 2026-03-25 18:45 by haxia
[¿¼ÑÐ] Çóµ÷¼Á +3 ÀîÀî²»·þÊä 2026-03-25 3/150 2026-03-25 13:03 by cmz0325
[¿¼ÑÐ] ÉϺ£µçÁ¦´óѧ²ÄÁÏ·À»¤ÓëвÄÁÏÖØµãʵÑéÊÒÕÐÊÕµ÷¼ÁÑо¿Éú£¨²ÄÁÏ¡¢»¯Ñ§¡¢µç»¯Ñ§£¬»·¾³£© +4 ÎÒ°®Ñ§µç³Ø 2026-03-23 4/200 2026-03-25 00:59 by 1027_324
[¿¼ÑÐ] 0703»¯Ñ§µ÷¼Á£¬Çóµ¼Ê¦ÊÕ +7 ÌìÌìºÃÔËÀ´Éϰ¶° 2026-03-24 7/350 2026-03-24 20:26 by peike
[¿¼ÑÐ] »¯¹¤×¨Ë¶Çóµ÷¼Á +3 questionÍì·ç 2026-03-24 3/150 2026-03-24 18:48 by jhhcooi
[¿¼ÑÐ] 291Çóµ÷¼Á +3 HanBeiNingZC 2026-03-24 3/150 2026-03-24 16:34 by barlinike
[¿¼ÑÐ] 384Çóµ÷¼Á +3 ×Óϵ²© 2026-03-22 6/300 2026-03-23 21:45 by ×Óϵ²©
[¿¼ÑÐ] 070300£¬Ò»Ö¾Ô¸±±º½320Çóµ÷¼Á +3 Jerry0216 2026-03-22 5/250 2026-03-23 09:16 by ¡£¡£ÌÃÌÃ
[¿¼ÑÐ] Ò»Ö¾Ô¸»ªÖпƼ¼´óѧ071000£¬Çóµ÷¼Á +4 ÑØ°¶Óб´¿Ç6 2026-03-21 4/200 2026-03-22 07:21 by ilovexiaobin
[¿¼ÑÐ] Ò»Ö¾Ô¸Éî´ó£¬0703»¯Ñ§£¬×Ü·Ö302£¬Çóµ÷¼Á +4 ÆßÔÂ-ÆßÆß 2026-03-21 4/200 2026-03-21 18:20 by ѧԱ8dgXkO
ÐÅÏ¢Ìáʾ
ÇëÌî´¦ÀíÒâ¼û