| 查看: 278 | 回复: 2 | |
[求助]
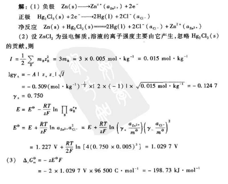
题目简单,求个详解过程 已有2人参与
|
|
![]() |
|
|
|
|
wu1309122143至尊木虫 (知名作家)
|
|
![]() |
|
|
2楼2015-10-31 22:29:42
|
|
谷中明至尊木虫 (著名写手)
|
|
|
3楼2015-10-31 22:31:02
|
|














回复此楼