24小时热门版块排行榜    

Znn3bq.jpeg
查看: 817  |  回复: 0

Skayer

新虫 (初入文坛)

[求助] 探空气球计算水汽含量的问题

各位,最近在学习有关水汽方面的知识,有些问题想请教一下。
我从http://weather.uwyo.edu/wyoming/下载的武汉的一天探空气象数据,进行水汽量的计算。
探空气球计算水汽含量的问题
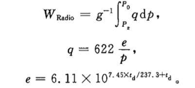
图中是计算了不同海拔高度距离 地面 的水汽总量,不知道为什么在3000m之后水汽总量下降了。按照公式的话,这应该计算的是水汽的积累量啊,,
探空气球计算水汽含量的问题-1
这是我使用的计算公式,积分上限为地面气压。
新手,还请各位赐教.
57494 ZHHH Wuhan Observations at 00Z 04 Jan 2015                                                                       
                                                                       
--------        ------        -------        -------        --------        ------        -------        -------        -------        -------
PRES        HGHT        TEMP        DWPT        RELH        MIXR        DRCT        SKNT        THTA        THTE
hPa        m        C        C        %        g/kg        deg        knot        K        K
--------        ------        -------        -------        --------        ------        -------        -------        -------        -------
1012        23        4.6        1.1        78        4.11        135        2        276.8        288.2
1009        47        7.4        2.6        72        4.59        137        3        279.8        292.7
1000        122        9.4        1.4        57        4.25        145        6        282.6        294.7
990        206        12.4        1.4        47        4.3        157        8        286.4        298.8
974        342        13.2        0.2        41        4        176        11        288.5        300.2
951        543        12.6        0.5        44        4.18        205        16        289.8        302.1
925        775        11.8        0.8        47        4.4        215        17        291.4        304.4
913        883        11.2        0.2        47        4.27        220        17        291.8        304.5
876        1227        9.2        -1.8        46        3.85        215        21        293.3        304.8
850        1477        7.8        -3.2        46        3.57        215        21        294.3        305.1
807        1902        6.3        -2.2        55        4.05        215        17        297.1        309.4
776        2223        5.1        -1.4        63        4.46        190        14        299.2        312.8
767        2318        4.8        -1.2        65        4.59        193        15        299.8        313.8
744        2565        2.8        -1.4        74        4.67        200        17        300.3        314.6
719        2841        0.6        -1.6        85        4.76        188        16        300.8        315.4
713        2909        5.1        -5.6        46        3.55        185        16        306.5        317.8
710        2943        7.4        -7.6        34        3.06        191        15        309.4        319.3
701        3048        8.4        -22.6        9        0.89        208        14        311.6        314.8
700        3060        8.4        -23.6        8        0.82        210        14        311.8        314.6
655        3594        5        -29.3        6        0.52        270        12        313.9        315.9
628        3932        2.9        -32.8        5        0.39        280        14        315.3        316.8
600        4298        0.6        -36.7        4        0.28        310        16        316.8        317.9
525        5371        -6.1        -48.1        2        0.09        306        27        321        321.4
500        5750        -9.1        -50.1        2        0.08        305        31        321.9        322.2
499        5765        -9.2        -50.2        2        0.08        305        31        321.9        322.2
413        7189        -19.7        -56.4        2        0.04        295        56        326.3        326.5
400        7430        -21.5        -57.5        2        0.04        295        66        327        327.1
393        7560        -22.7        -54.7        4        0.06        294        70        327.1        327.3
348        8434        -27.6        -52.8        7        0.08        285        101        332        332.4
300        9500        -33.5        -50.5        16        0.12        285        113        338        338.6
298        9547        -33.7        -50.7        16        0.12        285        113        338.4        338.9
280        9986        -34.5        -54.5        11        0.08        285        117        343.3        343.7
258        10554        -40        -70.5        2        0.01        285        122        343.3        343.4
257        10581        -40.3        -71.3        2        0.01        285        122        343.3        343.3
250        10770        -40.9        -71.9        2        0.01        285        122        345.1        345.2
209        11950        -49.6        -78.2        2        0        285        120        349.7        349.7
200        12240        -51.7        -79.7        2        0        285        117        350.7        350.8
181        12883        -55.9        -82.9        2        0        285        108        354        354.1
150        14070        -60.3                                285        91        366       
144        14325        -59.5                                284        88        371.7       
126        15148        -65.3                                282        79        375.6       
114        15753        -66.9                                280        72        383.6       
108        16080        -67.7                                282        66        388       
100        16540        -70.1                                285        58        392       
89        17228        -73.9                                295        47        397.7       
88.5        17261        -74.1                                295        47        398       
81.7        17728        -74.1                                300        45        407.1       
78.6        17956        -70.3                                303        45        419.5       
70        18640        -73.9                                310        43        426       
61.3        19414        -75.3                                310        39        439.3       
61        19443        -75.2                                310        39        440.1       
50        20610        -71.5                                300        27        474.6       
43        21514        -68.5                                295        19        502.9       
38.1        22239        -66.1                                281        22        526.6       
36.7        22469        -60.5                                277        23        546.7       
36        22590        -59.9                                275        23        551.3       
34        22949        -58.1                                310        27        565.1       
33.8        22986        -57.9                                309        27        566.6       
31        23533        -57.3                                290        23        582.3       
30        23740        -57.1                                300        21        588.4       
28        24179        -56.5                                310        21        601.8       
26        24651        -55.8                                290        19        616.6       
25.1        24875        -55.5                                303        21        623.7       
24        25164        -54.7                                320        23        634.2       
21        26025        -52.2                                310        17        666.3       
20        26340        -51.3                                295        17        678.4       
19        26676        -49.7                                280        17        693.4       
17        27405        -46.2                                275        21        726.8       
16.6        27561        -45.5                                279        21        734.2       
15        28229        -46.2                                295        21        753.5       
12        29699        -47.7                                320        8        797.8       
11        30272        -48.3                                230        8        815.8       
10        30900        -48.9                                215        10        835.9       
7.1        33143        -49.9                                311        23        917.7       
7        33236        -49.7                                315        23        922.2       
5.5        34824        -46.7                                                1001.3       
                                                                       
Station information and sounding indices                                                                       
                                                                       
Station identifier: ZHHH                                                                       
Station number: 57494                                                                       
Observation time: 150104/0000                                                                       
Station latitude: 30.61                                                                       
Station longitude: 114.13                                                                       
Station elevation: 23.0                                                                       
Showalter index: 16.42                                                                       
Lifted index: 21.13                                                                       
LIFT computed using virtual temperature: 21.05                                                                       
SWEAT index: 223.82                                                                       
K index: -18.30                                                                       
Cross totals index: 5.90                                                                       
Vertical totals index: 16.90                                                                       
Totals totals index: 22.80                                                                       
Convective Available Potential Energy: 0.00                                                                       
CAPE using virtual temperature: 0.00                                                                       
Convective Inhibition: 0.00                                                                       
CINS using virtual temperature: 0.00                                                                       
Bulk Richardson Number: 0.00                                                                       
Bulk Richardson Number using CAPV: 0.00                                                                       
Temp [K] of the Lifted Condensation Level: 271.90                                                                       
Pres [hPa] of the Lifted Condensation Level: 837.12                                                                       
Mean mixed layer potential temperature: 286.10                                                                       
Mean mixed layer mixing ratio: 4.20                                                                       
1000 hPa to 500 hPa thickness: 5628.00                                                                       
Precipitable water [mm] for entire sounding: 13.93
回复此楼
已阅   回复此楼   关注TA 给TA发消息 送TA红花 TA的回帖
相关版块跳转 我要订阅楼主 Skayer 的主题更新
最具人气热帖推荐 [查看全部] 作者 回/看 最后发表
[考研] 材料调剂 +14 一样YWY 2026-04-02 15/750 2026-04-08 22:40 by 猪会飞
[考研] 368化学求调剂 +12 wwwwabcde 2026-04-07 13/650 2026-04-08 20:48 by LiuXingYu星星
[考研] 求助071001调剂!!! +6 黄守松 2026-04-05 7/350 2026-04-08 11:54 by 猪会飞
[考研] 材料专硕322分 +12 哈哈哈吼吼吼哈 2026-04-02 12/600 2026-04-08 11:43 by 1753564080
[考研] 326求调剂 +5 9ahye 2026-04-02 6/300 2026-04-07 21:37 by lijunpoly
[考博] 博士申请 +3 IQwQl 2026-04-05 3/150 2026-04-07 20:31 by greychen00
[考研] 一志愿华中农业大学0710(A)初试329分 求调剂 +5 一名26考研生 2026-04-04 5/250 2026-04-07 08:54 by 18828373951
[硕博家园] 0856材料化工求调剂,一志愿211,初试成绩349 +4 江淮北月 2026-04-05 4/200 2026-04-06 22:44 by chenzhimin
[考研] 生物学学硕求调剂:351分一志愿南京师范大学生物学专业 +6 …~、王…~ 2026-04-06 7/350 2026-04-06 18:54 by macy2011
[考研] 求调剂 +5 wos666 2026-04-03 5/250 2026-04-06 10:13 by 蓝云思雨
[考研] 348求调剂 +6 wukira 2026-04-04 6/300 2026-04-05 18:11 by 猪会飞
[考研] 一志愿上海海洋大学083200食品学硕,求调剂,接受其他专业083200 +4 what张 2026-04-04 5/250 2026-04-05 14:07 by chw1980_0
[考研] 男生,一志愿沪9生物学071000,初试308求调剂 +3 刘墨墨 2026-04-04 3/150 2026-04-05 08:26 by barlinike
[考研] 一志愿北京化工大学,初试成绩350求调剂 +9 沿岸?贝壳 2026-04-04 14/700 2026-04-05 01:09 by 沿岸?贝壳
[考研] 290求调剂 +7 luoziheng 2026-04-04 7/350 2026-04-04 23:17 by lqwchd
[考研] 286求调剂 +3 草木不言 2026-04-04 3/150 2026-04-04 22:40 by lbsjt
[考研] 一志愿东北大学085901土木专硕345求调剂 +3 zxt11111 2026-04-04 3/150 2026-04-04 14:21 by 土木硕士招生
[考研] 求调剂 +3 usbdndj 2026-04-03 3/150 2026-04-03 14:10 by dxiaoxin
[考研] 数一英一285求调剂 +7 AZMK 2026-04-03 9/450 2026-04-03 13:03 by ms629
[考研] 调剂 +7 祉岷. 2026-04-02 7/350 2026-04-03 09:11 by 花呗还欠600
信息提示
请填处理意见