| 查看: 618 | 回复: 5 | ||||
chenpeng1991木虫 (正式写手)
小有名气
|
[求助]
一道无机问题 已有2人参与
|
|
是否要近似处理,有点不会啊,求大神帮忙看看。。。 发自小木虫Android客户端 |
» 猜你喜欢
武汉纺织大学-材料科学与工程学院-姜伟杰青团队-招生物方向调剂
已经有0人回复
武汉纺织大学-材料科学与工程学院-招 生物方向 硕士!
已经有0人回复
有机高分子材料论文润色/翻译怎么收费?
已经有228人回复
武汉纺织大学-材料科学与工程学院-姜伟杰青团队-招生物方向调剂
已经有0人回复
[武汉纺织大学]材料学院[姜伟团队名称]课题组-2026年硕士研究生调剂信息
已经有0人回复
武汉纺织大学-材料科学与工程学院-姜伟杰青团队-招调剂
已经有0人回复
生物医学材料前沿科普:低密度、高孔隙率的“多孔微球”核心技术与应用全景
已经有1人回复
湖南工业大学周贵寅组招生物医学工程(学硕07、08都行)、生物与医药(专硕08)硕士生
已经有0人回复
湖南工业大学周贵寅组招生物医学工程(学硕07、08都行)和生物与医药(专硕08)硕士生
已经有0人回复
考研求调剂
已经有0人回复
2026年中南民族大学化学与材料科学学院调剂公告
已经有16人回复

jiagle
专家顾问 (知名作家)
-

专家经验: +5165 - ICEPI: 166
- 应助: 5678 (副教授)
- 贵宾: 2.513
- 金币: 84732.4
- 散金: 10041
- 红花: 513
- 帖子: 8620
- 在线: 1197.9小时
- 虫号: 1960227
- 注册: 2012-08-28
- 性别: GG
- 专业: 无机材料化学
- 管辖: 无机/物化
【答案】应助回帖
★ ★ ★ ★ ★ ★
感谢参与,应助指数 +1
冰点降温: 金币+1, 谢谢回帖,辛苦了! 2015-10-27 19:45:15
chenpeng1991(青若代发): 金币+3, 感谢应助 2015-10-31 13:56:59
chenpeng1991: 金币+2, ★★★很有帮助 2015-10-31 19:50:13
感谢参与,应助指数 +1
冰点降温: 金币+1, 谢谢回帖,辛苦了! 2015-10-27 19:45:15
chenpeng1991(青若代发): 金币+3, 感谢应助 2015-10-31 13:56:59
chenpeng1991: 金币+2, ★★★很有帮助 2015-10-31 19:50:13
|
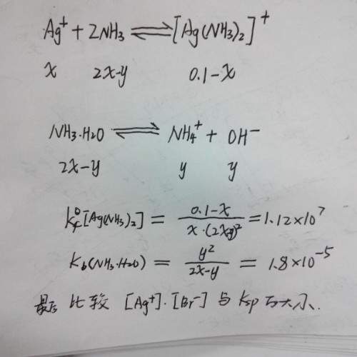
其实很简单: Ag(+) + 2NH3 = [Ag(NH3)2](+) x 2x 0.1-x (0.1-x)/( x(2x)^2) = 1.12*10^7 求出Ag(+)浓度x,再 [Ag+][Br-] = J J > Ksp(AgBr) 即有沉淀生成。 |
2楼2015-10-27 18:10:50
chenpeng1991
木虫 (正式写手)
小有名气
- 应助: 4 (幼儿园)
- 金币: 5593.4
- 散金: 70
- 红花: 2
- 帖子: 629
- 在线: 103.8小时
- 虫号: 2492038
- 注册: 2013-06-01
- 专业: 人工晶体

3楼2015-10-27 19:21:36
chenpeng1991
木虫 (正式写手)
小有名气
- 应助: 4 (幼儿园)
- 金币: 5593.4
- 散金: 70
- 红花: 2
- 帖子: 629
- 在线: 103.8小时
- 虫号: 2492038
- 注册: 2013-06-01
- 专业: 人工晶体

4楼2015-10-27 19:33:47
冰点降温
版主 (文坛精英)
- ICEPI: 16
- 应助: 1049 (博后)
- 贵宾: 17.583
- 金币: 142098
- 散金: 15350
- 红花: 243
- 沙发: 804
- 帖子: 15960
- 在线: 2058.4小时
- 虫号: 851406
- 注册: 2009-09-19
- 性别: GG
- 专业: 化学工程及工业化学
- 管辖: 无机/物化

5楼2015-10-27 19:44:41
chenpeng1991
木虫 (正式写手)
小有名气
- 应助: 4 (幼儿园)
- 金币: 5593.4
- 散金: 70
- 红花: 2
- 帖子: 629
- 在线: 103.8小时
- 虫号: 2492038
- 注册: 2013-06-01
- 专业: 人工晶体

6楼2015-10-27 20:21:15














回复此楼