| 查看: 303 | 回复: 0 | ||
[求助]
下面这个约束问题怎么优化?
|
|
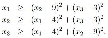
请大家帮看看这个问题怎么用Cplex或Matlab简便的优化(不能用fmincon): 目标函数:x1+x2+x3 约束条件: 捕获.JPhttp://muchongimg.xmcimg.com/data/bcs/2015/1027/w283h1756432_1445915894_384.jpgG |
» 猜你喜欢
生物学308分求调剂(一志愿华东师大)接受跨专业
已经有7人回复
求调剂
已经有11人回复
085600材料与化工329分求调剂
已经有13人回复
化学070300 求调剂
已经有18人回复
085600材料与化工349分求调剂
已经有12人回复
273求调剂
已经有5人回复
一志愿211,化学学硕,310分,本科重点双非,求调剂
已经有21人回复
考研英一数一338分
已经有8人回复
302求调剂
已经有10人回复
327求调剂
已经有14人回复














回复此楼