| ²é¿´: 4595 | »Ø¸´: 18 | |||||
| µ±Ç°Ö»ÏÔʾÂú×ãÖ¸¶¨Ìõ¼þµÄ»ØÌû£¬µã»÷ÕâÀï²é¿´±¾»°ÌâµÄËùÓлØÌû | |||||
gfy5202008гæ (СÓÐÃûÆø)
|
[ÇóÖú]
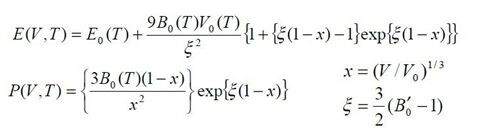
ÔõôÓÃBirch-Murnaghan·½³ÌÄâºÏE-VÇúÏߣ¿~~±¾ÈËС°×£¬ÇóÏêϸ¹ý³Ì~~ ÒÑÓÐ1È˲ÎÓë
|
||||
|
ÔõôÓÃBirch-Murnaghan·½³ÌÄâºÏE-VÇúÏߣ¿~~±¾ÈËС°×£¬ÇóÏêϸ¹ý³Ì~~ ÒÑÖªÊý¾ÝE-VÊý¾Ýµã ÄâºÏµÄ½á¹ûΪͼ2 ͼ1 ͼ2.jpg |
» ÊÕ¼±¾ÌûµÄÌÔÌûר¼ÍƼö
¿ÆÑÐ | µÚÒ»ÐÔÔÀí¼ÆËã½á¹û·ÖÎö·½·¨-ÎÞ»ú | ¸ÆîÑ¿óÏà¹ØÀíÂÛ |
» ²ÂÄãϲ»¶
Ò»Ö¾Ô¸Ö£ÖÝ´óѧ£¬080500ѧ˶£¬×Ü·Ö317·ÖÇóµ÷¼Á
ÒѾÓÐ10È˻ظ´
311Çóµ÷¼Á
ÒѾÓÐ7È˻ظ´
0703»¯Ñ§321·ÖÇóµ÷¼Á
ÒѾÓÐ11È˻ظ´
085600²ÄÁÏÓ뻯¹¤µ÷¼Á
ÒѾÓÐ7È˻ظ´
085601²ÄÁϹ¤³ÌÕÒµ÷¼Á
ÒѾÓÐ18È˻ظ´
²ÄÁϹ¤³Ìר˶Çóµ÷¼Á
ÒѾÓÐ7È˻ظ´
349Çóµ÷¼Á
ÒѾÓÐ3È˻ظ´
309Çóµ÷¼Á
ÒѾÓÐ14È˻ظ´
²ÄÁÏ¿ÆÑ§Ó빤³Ì 317Çóµ÷¼Á
ÒѾÓÐ6È˻ظ´
²ÄÁϵ÷¼Á
ÒѾÓÐ12È˻ظ´
zyqh
Ìú¸Ëľ³æ (ÖøÃûдÊÖ)
- Ó¦Öú: 33 (СѧÉú)
- ½ð±Ò: 6708
- É¢½ð: 1454
- ºì»¨: 22
- Ìû×Ó: 2377
- ÔÚÏß: 593.4Сʱ
- ³æºÅ: 2762045
- ×¢²á: 2013-10-29
- ÐÔ±ð: GG
- רҵ: Äý¾Û̬ÎïÐÔ II £ºµç×ӽṹ

8Â¥2015-10-30 12:23:35
LJÔÆË®ìøÐÄ
ľ³æ (ÕýʽдÊÖ)
- Ó¦Öú: 13 (СѧÉú)
- ½ð±Ò: 3008.7
- É¢½ð: 50
- ºì»¨: 6
- Ìû×Ó: 412
- ÔÚÏß: 393.9Сʱ
- ³æºÅ: 2341134
- ×¢²á: 2013-03-12
- ÐÔ±ð: MM
- רҵ: °ëµ¼Ìå²ÄÁÏ
¡¾´ð°¸¡¿Ó¦Öú»ØÌû
¡ï ¡ï ¡ï ¡ï ¡ï ¡ï ¡ï ¡ï ¡ï ¡ï ¡ï ¡ï ¡ï ¡ï ¡ï ¡ï ¡ï ¡ï ¡ï ¡ï ¡ï ¡ï ¡ï ¡ï ¡ï ¡ï ¡ï ¡ï ¡ï ¡ï ¡ï ¡ï ¡ï ¡ï ¡ï ¡ï ¡ï ¡ï ¡ï ¡ï ¡ï
¸Ðл²ÎÓ룬ӦÖúÖ¸Êý +1
gfy5202008: ½ð±Ò+40, ¡ï¡ï¡ïºÜÓаïÖú 2015-11-04 16:38:44
liliangfang: ½ð±Ò+1, лл½»Á÷ 2015-11-22 09:00:38
¸Ðл²ÎÓ룬ӦÖúÖ¸Êý +1
gfy5202008: ½ð±Ò+40, ¡ï¡ï¡ïºÜÓаïÖú 2015-11-04 16:38:44
liliangfang: ½ð±Ò+1, лл½»Á÷ 2015-11-22 09:00:38
| µÃµ½E-VµÄÊý¾ÝµãÖ®ºóÀûÓÃorigin½øÐзÇÏßÐÔÄâºÏ¾Í¿ÉÒԵõ½ÄâºÏÇúÏߣ¬Ã»Ì«Ã÷°×Â¥Ö÷ÄãµÄÎÊÌâ³öÔÚÄÄÁË£¬Í¼2ÊÇÄãÄâºÏµÃµ½µÄ½á¹ûÂ𣿠|
2Â¥2015-10-26 11:49:58
gfy5202008
гæ (СÓÐÃûÆø)
- Ó¦Öú: 0 (Ó×¶ùÔ°)
- ½ð±Ò: 408.6
- É¢½ð: 83
- ºì»¨: 1
- Ìû×Ó: 111
- ÔÚÏß: 108.8Сʱ
- ³æºÅ: 2116904
- ×¢²á: 2012-11-09
- ÐÔ±ð: MM
- רҵ: ½ðÊô²ÄÁϵÄ΢¹Û½á¹¹
3Â¥2015-10-27 10:04:54
LJÔÆË®ìøÐÄ
ľ³æ (ÕýʽдÊÖ)
- Ó¦Öú: 13 (СѧÉú)
- ½ð±Ò: 3008.7
- É¢½ð: 50
- ºì»¨: 6
- Ìû×Ó: 412
- ÔÚÏß: 393.9Сʱ
- ³æºÅ: 2341134
- ×¢²á: 2013-03-12
- ÐÔ±ð: MM
- רҵ: °ëµ¼Ìå²ÄÁÏ
4Â¥2015-10-27 10:24:15














»Ø¸´´ËÂ¥