| 查看: 536 | 回复: 2 | ||
往事不再留恋木虫 (正式写手)
|
[求助]
糖苷脱保护问题
|
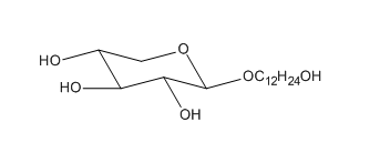
请各位帮助帮助,实在是伤心,再搞不了就不能毕业 了!!!![]() ![]() 如图:我在THF,还有苄胺的条件下打算把烷基链上那个乙酰基脱去,可是总是脱去环上的乙酰基,这怎么回事啊?还有没有其它方法?求助求助!!! A{X3$JO79AD9[B]9XK0@{`P.png |
» 猜你喜欢
过年走亲戚时感受到了所开私家车的鄙视链
已经有10人回复
今年春晚有几个节目很不错,点赞!
已经有12人回复
情人节自我反思:在爱情中有过遗憾吗?
已经有13人回复
体制内长辈说体制内绝大部分一辈子在底层,如同你们一样大部分普通教师忙且收入低
已经有12人回复
基金正文30页指的是报告正文还是整个申请书
已经有5人回复
往事不再留恋
木虫 (正式写手)
- 应助: 3 (幼儿园)
- 金币: 7513.4
- 散金: 288
- 帖子: 595
- 在线: 120.3小时
- 虫号: 2359902
- 注册: 2013-03-19
- 性别: GG
- 专业: 有机合成
2楼2015-10-26 09:43:34
3楼2017-07-06 15:55:07














回复此楼