24小时热门版块排行榜    

查看: 1311  |  回复: 0

mrrabbitsir

捐助贵宾 (小有名气)

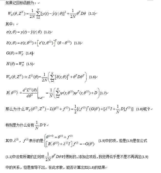
[求助] 关于LM优化算法推导的一个问题

关于LM优化算法推导的一个问题
回复此楼

» 猜你喜欢

已阅   回复此楼   关注TA 给TA发消息 送TA红花 TA的回帖
相关版块跳转 我要订阅楼主 mrrabbitsir 的主题更新
最具人气热帖推荐 [查看全部] 作者 回/看 最后发表
[考研] 085600材料与化工调剂 +7 A-哆啦Z梦 2026-03-23 12/600 2026-03-23 23:16 by 星空星月
[考研] 335分 | 材料与化工专硕 | GPA 4.07 | 有科研经历 +4 cccchenso 2026-03-23 4/200 2026-03-23 23:00 by 徐ckkk
[考研] 一志愿211 初试270分 求调剂 +4 谷雨上岸 2026-03-23 5/250 2026-03-23 21:18 by 不惑可乐
[考研] 工科材料085601 279求调剂 +8 困于星晨 2026-03-17 10/500 2026-03-23 13:05 by 醉在风里
[考研] 298求调剂 +8 上岸6666@ 2026-03-20 8/400 2026-03-23 11:02 by laoshidan
[考研] 315分,诚求调剂,材料与化工085600 +3 13756423260 2026-03-22 3/150 2026-03-22 20:11 by edmund7
[考研] 305分求调剂(食品工程) +4 Sxy112 2026-03-21 6/300 2026-03-22 15:26 by 无懈可击111
[考研] 260求调剂 +3 朱芷琳 2026-03-20 4/200 2026-03-22 15:12 by 朱芷琳
[考研] 311求调剂 +3 26研0 2026-03-20 3/150 2026-03-22 14:46 by ColorlessPI
[考研] 广西大学材料导师推荐 +3 夏夏夏小正 2026-03-17 5/250 2026-03-21 22:20 by 金昊ML
[考研] 考研调剂 +3 呼呼?~+123456 2026-03-21 3/150 2026-03-21 20:04 by 无际的草原
[考研] 0805 316求调剂 +3 大雪深藏 2026-03-18 3/150 2026-03-21 18:55 by 学员8dgXkO
[考研] 求调剂 +3 13341 2026-03-20 3/150 2026-03-21 18:28 by 学员8dgXkO
[考研] 【考研调剂】化学专业 281分,一志愿四川大学,诚心求调剂 +11 吃吃吃才有意义 2026-03-19 11/550 2026-03-21 18:23 by 学员8dgXkO
[考研] 材料 271求调剂 +5 展信悦_ 2026-03-21 5/250 2026-03-21 17:29 by 学员8dgXkO
[考研] 324分 085600材料化工求调剂 +4 llllkkkhh 2026-03-18 4/200 2026-03-21 01:24 by JourneyLucky
[考研] 一志愿 西北大学 ,070300化学学硕,总分287,双非一本,求调剂。 +3 晨昏线与星海 2026-03-18 3/150 2026-03-21 00:46 by JourneyLucky
[考研] 一志愿南昌大学,327分,材料与化工085600 +9 Ncdx123456 2026-03-19 9/450 2026-03-20 23:41 by lovewei0727
[考研] 317求调剂 +5 申子申申 2026-03-19 9/450 2026-03-20 22:26 by JourneyLucky
[考研] 广西大学家禽遗传育种课题组2026年硕士招生(接收计算机专业调剂) +3 123阿标 2026-03-17 3/150 2026-03-20 15:58 by 飞行琦
信息提示
请填处理意见