| 查看: 3128 | 回复: 8 | ||
kobe_liuxing铜虫 (小有名气)
|
[求助]
如何绘制势能剖面图 已有1人参与
|
|
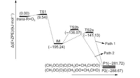
我想绘制下图的势能剖面图。但是我有个问题: 我的反应是:A+B---C+D A+C---E+F B+D---H+I 这个每个都是基元反应,且每个过渡态我都找出来了,活化能也有,就不知道怎么画。感觉这种相互交叉的反应没法画。求助! 1111111111.png |
» 猜你喜欢
PbS量子点如何确定浓度
已经有11人回复
大湾区大学刘天辉课题组招收2026级博士生(与中山大学物理学院联合培养)
已经有22人回复
物理化学论文润色/翻译怎么收费?
已经有125人回复
PbS量子点紫外吸收
已经有0人回复
求标准卡片Cu0.4In0.4Zn1.2S2 PDF#32-0340
已经有2人回复
比利时鲁汶大学与国家留学基金委共同资助博士研究生CSC-KU Leuven PhD Scholarship
已经有0人回复
量子点电致发光器件(QLED):蓝光量子点(QDs)和纳米氧化锌电子传输材料
已经有0人回复
需要一个圆偏振光诱导化学反应,请问使用圆偏振光作为光源,应该需要哪些设备搭建
已经有0人回复
伦敦大学学院Benjamin Moss博士招收人工智能、原位光谱、催化相关26年博士生
已经有11人回复
中国科学院成都山地灾害与环境研究所2026年特别研究助理(博士后)招聘启事
已经有0人回复
求ENDNOTE破解软件安装包
已经有1人回复
» 本主题相关价值贴推荐,对您同样有帮助:
绘制反应机理势能面的小工具
已经有8人回复
2楼2015-10-23 19:48:56
kobe_liuxing
铜虫 (小有名气)
- 应助: 0 (幼儿园)
- 金币: 18
- 散金: 5
- 红花: 3
- 帖子: 78
- 在线: 42.2小时
- 虫号: 3778214
- 注册: 2015-03-31
- 专业: 机械动力学
3楼2015-10-23 20:58:58
4楼2015-10-24 12:24:49
【答案】应助回帖
|
path1 放到左边即可。 就是七八个通道的反应也能画清楚的, 参考文献:http://dx.doi.org/10.1039/c5cp04278j 看fig.1 [ 发自手机版 http://muchong.com/3g ] |
5楼2015-10-26 23:12:07
kobe_liuxing
铜虫 (小有名气)
- 应助: 0 (幼儿园)
- 金币: 18
- 散金: 5
- 红花: 3
- 帖子: 78
- 在线: 42.2小时
- 虫号: 3778214
- 注册: 2015-03-31
- 专业: 机械动力学
6楼2015-10-27 08:31:04
kobe_liuxing
铜虫 (小有名气)
- 应助: 0 (幼儿园)
- 金币: 18
- 散金: 5
- 红花: 3
- 帖子: 78
- 在线: 42.2小时
- 虫号: 3778214
- 注册: 2015-03-31
- 专业: 机械动力学
7楼2015-10-27 08:31:24
kobe_liuxing
铜虫 (小有名气)
- 应助: 0 (幼儿园)
- 金币: 18
- 散金: 5
- 红花: 3
- 帖子: 78
- 在线: 42.2小时
- 虫号: 3778214
- 注册: 2015-03-31
- 专业: 机械动力学
8楼2015-10-27 08:31:40
9楼2015-10-27 20:22:22













回复此楼