| 查看: 1238 | 回复: 9 | ||
xiongwei1225新虫 (初入文坛)
|
[求助]
请教大家金属本构方程的问题 已有1人参与
|
|
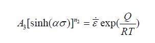
金属本构方程可以表示为如下形式。。 问题有两个。首先,流变应力随变形量的增加而增加,可公式中并没有变形量这一项,也就是说根据公式只要有温度,应变速率,就可得到唯一的应力值,为什么?? 第二个问题,公式中的h代表什么意思。 捕获.JPG |
» 猜你喜欢
一志愿上海交大生物与医药专硕324分,求调剂
已经有4人回复
一志愿重庆大学085700资源与环境,总分308求调剂
已经有4人回复
0854电子信息求调剂 324
已经有3人回复
303求调剂
已经有3人回复
336求调剂
已经有3人回复
306求调剂
已经有9人回复
工科0856求调剂
已经有4人回复
工科材料085601 279求调剂
已经有10人回复
081700 调剂 267分
已经有4人回复
276求调剂。有半年电池和半年高分子实习经历
已经有9人回复
hihxl1
木虫 (正式写手)
- 应助: 9 (幼儿园)
- 金币: 2355.1
- 散金: 63
- 红花: 1
- 帖子: 467
- 在线: 112.4小时
- 虫号: 1109930
- 注册: 2010-09-28
- 性别: GG
- 专业: 金属材料的微观结构

2楼2015-10-23 06:53:08
xiongwei1225
新虫 (初入文坛)
- 应助: 0 (幼儿园)
- 金币: 286.8
- 帖子: 44
- 在线: 24小时
- 虫号: 3437034
- 注册: 2014-09-23
- 性别: GG
- 专业: 金属非晶态、准晶和纳米晶
3楼2015-10-23 08:19:48
zhangxu26
金虫 (小有名气)
- 应助: 1 (幼儿园)
- 金币: 876.3
- 帖子: 130
- 在线: 154.2小时
- 虫号: 355077
- 注册: 2007-04-25
- 性别: GG
- 专业: 固体力学
4楼2015-10-23 10:26:19
zhangxu26
金虫 (小有名气)
- 应助: 1 (幼儿园)
- 金币: 876.3
- 帖子: 130
- 在线: 154.2小时
- 虫号: 355077
- 注册: 2007-04-25
- 性别: GG
- 专业: 固体力学
5楼2015-10-23 10:27:36
kxwaiting
铜虫 (初入文坛)
- 应助: 4 (幼儿园)
- 金币: 70.1
- 帖子: 11
- 在线: 2.1小时
- 虫号: 4157105
- 注册: 2015-10-19
- 性别: GG
- 专业: 金属材料的合金相、相变及
6楼2015-10-23 10:39:26
xiongwei1225
新虫 (初入文坛)
- 应助: 0 (幼儿园)
- 金币: 286.8
- 帖子: 44
- 在线: 24小时
- 虫号: 3437034
- 注册: 2014-09-23
- 性别: GG
- 专业: 金属非晶态、准晶和纳米晶
7楼2015-10-23 11:21:26
xiongwei1225
新虫 (初入文坛)
- 应助: 0 (幼儿园)
- 金币: 286.8
- 帖子: 44
- 在线: 24小时
- 虫号: 3437034
- 注册: 2014-09-23
- 性别: GG
- 专业: 金属非晶态、准晶和纳米晶
8楼2015-10-23 15:50:22
xiongwei1225
新虫 (初入文坛)
- 应助: 0 (幼儿园)
- 金币: 286.8
- 帖子: 44
- 在线: 24小时
- 虫号: 3437034
- 注册: 2014-09-23
- 性别: GG
- 专业: 金属非晶态、准晶和纳米晶
9楼2015-10-23 15:50:37
xiongwei1225
新虫 (初入文坛)
- 应助: 0 (幼儿园)
- 金币: 286.8
- 帖子: 44
- 在线: 24小时
- 虫号: 3437034
- 注册: 2014-09-23
- 性别: GG
- 专业: 金属非晶态、准晶和纳米晶
10楼2015-10-23 16:09:08













回复此楼