| 查看: 522 | 回复: 0 | ||
fanghd2005铁虫 (小有名气)
|
[求助]
TNM物理老化模型程序
|
|
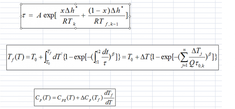
我用matlab编程计算高分子连续降温物理老化过程的比热值变化,但是 程序计算不出来的吸热峰值与实验值对应不上,请问哪位能够给我指点一下,帮我编一下程序。 我所用的模型是TNM模型,就是Tool的模型。 公式和我计算的结果见下面的图片。 bw195h3065504_1439885819_468.png bw215h3065504_1439886126_186.png |
» 猜你喜欢
光学工程学硕调剂信息
已经有32人回复
欢迎加入课题组
已经有0人回复
物理学I论文润色/翻译怎么收费?
已经有179人回复
散金币,求好运,祝面上顺利!
已经有79人回复
华东师范大学芯片设计徐珑真实水平咋样
已经有1人回复
调剂
已经有0人回复
【新加坡】纳米电子器件项目组有“联合培养博士生”名额
已经有0人回复
中德博士后2026项目5月30日截止- 国内博士后入站、德国两年全职
已经有0人回复
面向全球申请人的中德博士后2026项目5月30日截止- 国内博后入站德国两年全职
已经有0人回复
【新加坡】纳米电子器件项目组有“联合培养博士生”名额
已经有2人回复
重庆交大材料学院26年硕士招生复试实施细则已出。欢迎加入光子学微结构与器件课题组。
已经有0人回复
» 本主题相关商家推荐: (我也要在这里推广)














回复此楼