²é¿´: 399  |  »Ø¸´: 1

mz1179

гæ (³õÈëÎÄ̳)

[ÇóÖú] ÓÅ»¯Ä£ÐͳöÏÖ´íÎ󣬸÷λ´óÉñ°ïæָµ¼Ï£¬Ð»Ð» ÒÑÓÐ1È˲ÎÓë

function f=bibi_mubiao(x)
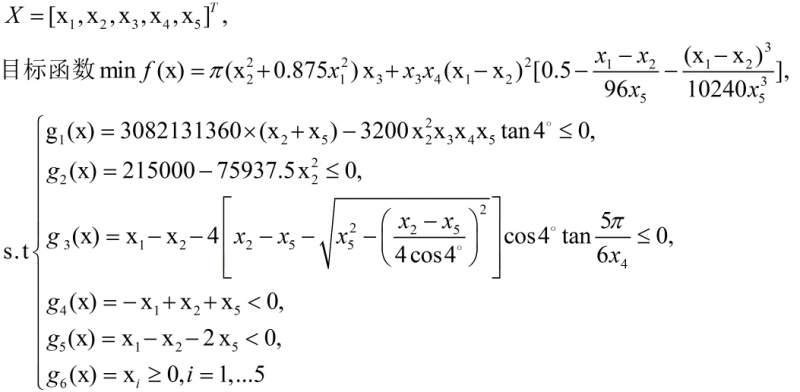
f=pi*(x(2)^2+0.875*x(1)^2)*x(3)+x(3)*x(4)*(x(1)-x(2))^2*(0.5-(x(1)-x(2))/(96*x(5))-(x(1)-x(2))^3/(10240*x(5)^3));

function [g,ceq]=bibi_yueshu(x)
g(1)=3082131360*(x(2)+x(5))-3200*x(2)^2*x(3)*x(4)*x(5)*tan(4*pi/180);
g(2)=210000-506.25*x(2)^3;
g(3)=x(1)-x(2)-4*cos(4*pi/180)*tan(5*pi/(6*x(4)))*(x(2)-x(5)-sqrt(x(5)^2-((x(2)-x(5))/(4*cos(4*pi/180)))^2));
ceq=[];

x0=[35.135,27.3825,6.6500,24,4.5000];
A=[-1,1,0,0,1;1,-1,0,0,-2];
b=[0;0];
[x,fval,exitflag,outflag]=fmincon(@bibi_mubiao,x0,A,b,[],[],[],[],@bibi_yueshu)

Îұ༭ÁËÈý¸öMÎļþ£¬µ«ÊÇÔÚÃüÁî´°¿ÚÊä³öbibiÔËÐÐʱWarning: The default trust-region-reflective algorithm does not solve problems
with the constraints you have specified. FMINCON will use the active-set
algorithm instead. For information on applicable algorithms, see Choosing the
Algorithm in the documentation.
> In fmincon at 500
  In bibi at 4
Warning: Your current settings will run a different algorithm (interior-point)
in a future release.
> In fmincon at 505
  In bibi at 4
matlabÍêȫûʲô»ù´¡£¬ÕÕ×ÅÒ»¸öÀý×Ó±àµÄ¡£ÕâÊdzöÏÖʲôÎÊÌ⣿¸÷λ´óÉñ°ïæ¿´¿´³ÌÐò±à¼­ÄÄÀïÓÐÎÊÌ⣿Íò·Ö¸Ðл

ÓÅ»¯Ä£ÐͳöÏÖ´íÎ󣬸÷λ´óÉñ°ïæָµ¼Ï£¬Ð»Ð»
Ä£ÐÍ.jpg
»Ø¸´´ËÂ¥

» ²ÂÄãϲ»¶

ÒÑÔÄ   »Ø¸´´ËÂ¥   ¹Ø×¢TA ¸øTA·¢ÏûÏ¢ ËÍTAºì»¨ TAµÄ»ØÌû

shenyxtata

½ð³æ (ÕýʽдÊÖ)

¡¾´ð°¸¡¿Ó¦Öú»ØÌû

¸Ðл²ÎÓ룬ӦÖúÖ¸Êý +1
ÕâЩÐÅÏ¢±¾Éí²»Òâζ×ÅÓÐÎÊÌ⣬µ«ÊÇÄãµÄg6ûÓмӵ½Ô¼ÊøÀï¡£µÚ7¸ö²ÎÊýÓ¦¸ÃÊÇzeros(5,1)£¬µÚ8¸ö²ÎÊýInf
2Â¥2015-10-22 21:02:09
ÒÑÔÄ   »Ø¸´´ËÂ¥   ¹Ø×¢TA ¸øTA·¢ÏûÏ¢ ËÍTAºì»¨ TAµÄ»ØÌû
Ïà¹Ø°æ¿éÌø×ª ÎÒÒª¶©ÔÄÂ¥Ö÷ mz1179 µÄÖ÷Ìâ¸üÐÂ
×î¾ßÈËÆøÈÈÌûÍÆ¼ö [²é¿´È«²¿] ×÷Õß »Ø/¿´ ×îºó·¢±í
[¿¼ÑÐ] 319Çóµ÷¼Á +3 СÁ¦Æøçæçæ 2026-03-20 3/150 2026-03-20 19:47 by JourneyLucky
[¿¼ÑÐ] 086500 325 Çóµ÷¼Á +3 Áì´øÐ¡ÐÜ 2026-03-19 3/150 2026-03-20 18:38 by ¾¡Ë´Ò¢1
[¿¼ÑÐ] »·¾³¹¤³Ìµ÷¼Á +9 ´ó¿Édigkids 2026-03-16 9/450 2026-03-20 17:38 by ×íÔÚ·çÀï
[»ù½ðÉêÇë] ѧУÒѾ­Ìá½»µ½NSFC£¬»¹ÄÜÐÞ¸ÄÂ𣿠40+4 babangida 2026-03-19 8/400 2026-03-20 15:58 by babero
[¿¼ÑÐ] 085600²ÄÁÏÓ뻯¹¤ +6 °²È«Éϰ¶£¡ 2026-03-16 6/300 2026-03-20 15:07 by lbsjt
[¿¼ÑÐ] 279·ÖÇóµ÷¼Á Ò»Ö¾Ô¸211 +9 chaojifeixia 2026-03-19 10/500 2026-03-20 12:29 by lature00
[¿¼ÑÐ] 307Çóµ÷¼Á +9 ÀäóÏ123 2026-03-17 9/450 2026-03-19 22:44 by ѧԱ8dgXkO
[¿¼ÑÐ] 288Çóµ÷¼Á +15 ÓÚº£º£º£º£ 2026-03-19 15/750 2026-03-19 22:41 by ѧԱ8dgXkO
[¿¼ÑÐ] ÉúÎïѧµ÷¼ÁÕÐÈË£¡£¡£¡ +3 ɽº£Ììá° 2026-03-17 4/200 2026-03-19 21:34 by ÔõôÊÍ»³
[¿¼²©] É격26Äê +3 °Ë6°Ë68 2026-03-19 3/150 2026-03-19 19:43 by nxgogo
[¿¼ÑÐ] Ò»Ö¾Ô¸¸£´ó288Óлú»¯Ñ§£¬Çóµ÷¼Á +3 Сľ³æ200408204 2026-03-18 3/150 2026-03-19 13:31 by houyaoxu
[¿¼ÑÐ] ²ÄÁÏ¿¼Ñе÷¼Á +3 xwt¡£ 2026-03-19 3/150 2026-03-19 11:22 by wãåÑôw
[¿¼ÑÐ] 0817µ÷¼Á +3 ûÓдð°¸_ 2026-03-14 3/150 2026-03-19 09:51 by Xu de nuo
[¿¼ÑÐ] 330Çóµ÷¼Á +3 С²Ä»¯±¾¿Æ 2026-03-18 3/150 2026-03-18 21:55 by ÎÞи¿É»÷111
[¿¼ÑÐ] 302Çóµ÷¼Á +10 ºôºôºô¡£¡£¡£¡£ 2026-03-17 10/500 2026-03-18 12:45 by Linda Hu
[¿¼ÑÐ] 277µ÷¼Á +5 ×ÔÓɼå±ý¹û×Ó 2026-03-16 6/300 2026-03-17 19:26 by Àîleezz
[¿¼ÑÐ] 290Çóµ÷¼Á +3 p asserby. 2026-03-15 4/200 2026-03-17 16:35 by wangkm
[¿¼ÑÐ] Ò»Ö¾Ô¸ËÕÖÝ´óѧ²ÄÁϹ¤³Ì£¨085601£©×¨Ë¶ÓпÆÑо­ÀúÈýÏî¹ú½±Á½¸öʵÓÃÐÍרÀûÒ»ÏîÊ¡¼¶Á¢Ïî +6 ´ó»ðɽС»ðɽ 2026-03-16 8/400 2026-03-17 15:05 by ÎÞи¿É»÷111
[¿¼ÑÐ] »úеר˶325£¬Ñ°ÕÒµ÷¼ÁԺУ +3 y9999 2026-03-15 5/250 2026-03-16 19:58 by y9999
[¿¼ÑÐ] 0703 ÎïÀí»¯Ñ§µ÷¼Á +3 ÎÒ¿ÉÒÔÉϰ¶µÄ¶Ô 2026-03-13 5/250 2026-03-16 10:50 by ÎÒ¿ÉÒÔÉϰ¶µÄ¶ÔÂ
ÐÅÏ¢Ìáʾ
ÇëÌî´¦ÀíÒâ¼û