| ²é¿´: 1256 | »Ø¸´: 3 | ||
catliwenͳæ (³õÈëÎÄ̳)
|
[½»Á÷]
Èýµç¼«Ìåϵ´°¿ÚÓë·Ö½âµçѹµÄͳһÐÔÎÊÌâ ÒÑÓÐ3È˲ÎÓë
|
hitjapan12
ľ³æ (ÕýʽдÊÖ)
- ECEPI: 2
- Ó¦Öú: 6 (Ó×¶ùÔ°)
- ½ð±Ò: 3459.7
- É¢½ð: 1070
- ºì»¨: 5
- Ìû×Ó: 985
- ÔÚÏß: 510.1Сʱ
- ³æºÅ: 891730
- ×¢²á: 2009-11-02
- רҵ: ÎÞ»ú²ÄÁÏ»¯Ñ§
2Â¥2015-11-18 21:27:14
wyq060512
½ð³æ (ÖøÃûдÊÖ)
- Ó¦Öú: 4 (Ó×¶ùÔ°)
- ½ð±Ò: 484.5
- É¢½ð: 848
- ºì»¨: 13
- Ìû×Ó: 1065
- ÔÚÏß: 1142.2Сʱ
- ³æºÅ: 554016
- ×¢²á: 2008-05-05
- ÐÔ±ð: GG
- רҵ: »·¾³ÎÛȾ»¯Ñ§
¡ï
Сľ³æ: ½ð±Ò+0.5, ¸ø¸öºì°ü£¬Ð»Ð»»ØÌû
Сľ³æ: ½ð±Ò+0.5, ¸ø¸öºì°ü£¬Ð»Ð»»ØÌû
|
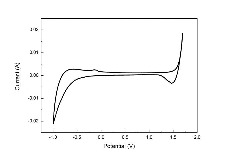
²Å0.0¼¸A,¿ÉÄÜÊÇÔÓÖÊÒýÆðµÄ£¬Ò»°ã¶¼µ½0.¼¸A²Åµ½´°¿Ú ·¢×ÔСľ³æAndroid¿Í»§¶Ë |
3Â¥2015-11-24 23:08:16
qw905
ÖÁ×ðľ³æ (ÖøÃûдÊÖ)
- Ó¦Öú: 38 (СѧÉú)
- ½ð±Ò: 22754.2
- ºì»¨: 11
- Ìû×Ó: 1388
- ÔÚÏß: 3725.9Сʱ
- ³æºÅ: 1142082
- ×¢²á: 2010-11-09
- ÐÔ±ð: GG
- רҵ: ½ðÊô¹¦ÄܲÄÁÏ
4Â¥2016-05-08 17:48:18













»Ø¸´´ËÂ¥
¹ÄÀø½»Á÷£¡~~